安全術語
S22Do not breathe dust.
切勿吸入粉塵。
S26In case of contact with eyes, rinse immediately with plenty of water and seek medical advice.
不慎與眼睛接觸後,請立即用大量清水沖洗並徵求醫生意見。
S36/37/39Wear suitable protective clothing, gloves and eye/face protection.
S45In case of accident or if you feel unwell, seek medical advice immediately (show the label whenever possible.)
若發生事故或感不適,立即就醫(可能的話,出示其標籤)。
風險術語
R22Harmful if swallowed.
吞食有害。
R34 Causes burns.
引起灼傷。
R63Possible risk of harm to the unborn child.
可能有對胎兒造成傷害的危險。
理化性質
毒理學數據
有毒,對小鼠經口LD50:18.80mg/kg。注射LD50610mg/kg,其毒性及防護方法與乙二胺相似。
生態學數據
其它有害作用:該物質對環境可能有危害,對水體應給予特別注意。
分子結構數據
1、 摩爾折射率:18.77
2、 摩爾體積(m3/mol):60.9
3、 等張比容(90.2K):161.0
4、 表面張力(dyne/cm):48.6
5、 介電常數(F/m):無可用
6、 偶極距(D):無可用
7、 極化率(10-24cm3):7.44
性質與穩定性
呈弱鹼性。有毒,生產設備要密封,防止跑、冒、滴、漏。操作人員應穿戴防護用具,避免直接接觸本品。
化學反應
咪唑比其他1,3-二唑更容易發生親電芳香取代反應,並且反應主要在C-4和C-5上進行。這是因為親電試劑進攻C-2時,有特別不穩定的極限式,生成的中間體將正電荷分布在氮原子上。例如,咪唑與發煙硝酸/濃硫酸作用,可以很快生成產率很高的4(5)-硝基咪唑;而4,5-二甲基咪唑在劇烈條件下硝化,仍然不能發生反應。
咪唑咪唑N-3上的電子云密度較大,所以烷基化反應一般都先在這個氮原子上發生。一烷基化的產物通過互變異構,又可以產生一個類似於吡啶中的氮原子,因此可以進一步反應,生成二烷基化的產物咪唑鎓鹽。
咪唑的醯基化反應一般也在N-3上發生,但由於醯基是吸電子基,故反應能控制在一元醯基化階段,產物是N-醯基咪唑。
咪唑的活潑氫可以分解格氏試劑,生成咪唑的N-鎂鹽,經異構化後得到C-2取代的咪唑。後者用碘甲烷處理,可以生成1,2-二甲基咪唑。
咪唑可與親雙烯體發生加成,先生成3-鎓鹽兩性離子,然後與另一分子親雙烯體親核加成,生成C-2環化的產物。例如1-甲基-2-乙基咪唑與兩分子丁炔二酸二甲酯反應後,得到8a-乙基-1-甲基-1,8a-二氫咪唑並[1,2-a]吡啶-5,6,7,8-四羧酸四甲酯。
貯存方法
採用木桶或玻璃瓶包裝。儲存於陰涼、通風、乾燥處。防熱、防潮、防曬、防碰撞。按有毒物品規定儲運。
合成方法
1、由乙二醛經環合;中和而得。將乙二醛、甲醛、硫酸銨投入反應鍋,攪拌加熱至85-88℃,保溫4h。冷至50-60℃,用石灰水中和至pH為10以上。加熱至85-90℃,排氨1h以上,稍冷,過濾,濾餅用熱水洗滌,合併洗;濾液,減壓濃縮至無水蒸出時,繼續減壓蒸餾至低沸物全部蒸完,收集105-160℃(0.133-0.267kPa)餾分,得咪唑。收率約45%。
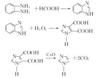
咪唑2、另一種製法是使鄰苯二胺與甲酸環合生成苯駢咪唑,再經雙氧水反應開環為4,5-二羥基咪唑,最後脫羧製得咪唑。4,5-二羥基咪唑也可由d-酒石酸經硝化、環合而得。4,5-二羧基咪唑的脫羧製取咪唑的工藝過程如下:將4,5-二羥基咪唑與氧化銅混合,加熱至100-280℃,放出大量二氧化碳氣體,收集餾出液即得粗品,用苯重結晶得成品,收率76%。
咪唑3、咪唑的化學合成路線有乙二醛合成法、腈類合成法、酒石酸法、鄰苯二胺與甲酸環合法、溴乙醛法等。
(1)工業乙二醛合成法將乙二醛、甲醛、硫酸銨投入反應釜,攪拌加熱至85~88℃,保溫4h。然後冷卻至50~60℃,用石灰水中和至pH值10以上,再加熱至85~90℃,排氨1h以上。稍冷後,過濾,濾餅用熱水洗滌,合併洗、濾液,加入到蒸餾裝置中,先減壓濃縮至無水蒸出,再繼續減壓蒸餾至低沸物全部蒸完,然後收集105~160℃/133.3~266.7Pa餾分,得咪唑。收率約45%。每噸產品消耗乙二醛4172kg,甲醛(37%)2344kg,硫酸銨(99%)3826kg,石灰2571kg。反應式如下:
咪唑該法由於收率和產品質量不盡如人意,文獻報導了一些改進方法,如採用異丙醚萃取的方法、用烏洛托品代替甲醛的合成方法、用氨水代替硫酸銨的合成方法、用草酸銨代替硫酸銨的合成方法等。如用草酸銨代替硫酸銨可使收率提高到65%。
4、鄰苯二胺與甲酸環合法將鄰苯二胺與甲酸環合生成苯並咪唑,再經雙氧水反應開環為4,5-二羧基咪唑,最後脫羧製得咪唑
咪唑5、溴乙醛法用醋酸乙烯酯與溴加成,再用乙醇處理,生成溴代乙醛,再與溴化氫、乙醇作用生成縮醛。縮醛在乙二醇及濃鹽酸作用下生成環狀縮醛,用過量甲醯胺與縮醛在不斷通入氨氣情況下反應,生成咪唑,產率為50%。
6、以乙二醛為原料,在甲醛中與硫酸銨(或氨)在85~90℃下反應,先製得咪唑的硫酸鹽,然後用氫氧化鈣中和,可得咪唑粗製品,過濾,用水洗滌,合併濾液和洗滌液,減壓蒸發濃縮,結晶,可製得。如果直接用氨,則無硫酸鹽的處理步驟,可一步製得。無論是用硫酸銨或氨,此法的收率較低,約45%。
以鄰苯二胺和甲酸為原料,環合,生成苯並咪唑,再在硫酸溶液中氧化,生成二羧基咪唑,最後在氧化銅作用下,於100~150℃下脫羧,可製得粗品,再在苯溶液中重結晶,可得咪唑成品。
以D-酒石酸為原料,在硫酸中,用硝酸進行硝化,製得2,3-二硝基酒石酸,再在甲醛中與氨反應,可製得二羧基咪唑,然後脫羧,可製得。
7、其製備方法是將乙二醛、甲醛、硫酸銨投入反應鍋,攪拌加熱至85~88℃,保溫4h,冷至50~60℃,用石灰水中和至pH=10以上,加熱至85~90℃,排氨1h以上,稍冷,過濾,濾餅用熱水洗滌,合併洗濾液,減壓濃縮至無水蒸出時,繼續蒸餾至低沸物全部蒸完,收集105~160℃/133~266Pa餾分得咪唑。
也可用鄰苯二胺為原料,加入到甲酸中攪拌加熱,在95~98℃保溫2h,降溫到50~60℃,用10%NaOH調節至pH=10,降至室溫,過濾水洗,乾燥得苯並咪唑。在攪拌下將苯並咪唑投入濃硫酸,升溫至100℃,慢慢滴入HO。加畢,在140~150℃攪拌反應1h,降溫至40℃,加水稀釋,析出結晶,過濾,水洗,乾燥,得4,5-二羧基咪唑。將4,5-二羧基咪唑與氧化銅混合,加熱至100~280℃,放出大量二氧化碳氣體,收集餾出液,即得白色塊狀物粗品,用苯重結晶得精品咪唑。
用途說明
咪唑可用作環氧樹脂固化劑、可提高製品的彎曲、拉伸、壓縮等機械性能,提高絕緣的電性能,提高耐化學藥劑的化學性能,廣泛用於計算機、電器。
作為銅的防鏽劑而用於印刷電路版和積體電路。
用作醫藥原料,用於製造抗真菌藥、抗霉劑、低血糖治療藥、人造血漿、滴蟲治療藥、支氣管哮喘治療藥、防斑疹劑等。
用作農藥原料,用於硼酸製劑的增效劑、製取殺蟲劑和殺菌劑。
此外,咪唑也用作脲醛樹脂固化劑、攝影藥物、粘合劑、塗料、橡膠硫化劑、防靜電劑等的原料; 有機合成中間體。
咪唑是農藥抑霉唑、咪鮮胺等殺菌劑的中間體,也是醫藥抗真菌藥雙氯苯咪唑、益康唑、酮康唑、克霉唑的中間體。用作有機合成原料及中間體,用於製取藥物及殺蟲劑。用作分析試劑,也用於有機合成。
咪唑類主要用作環氧樹脂的固化劑,在日本占咪唑類消費量的一半以下,還可用作治療滴蟲病及火雞黑頭病的藥物。
咪唑類抗真菌藥雙氯苯咪唑、益康唑、酮康唑、克霉唑的生產中,咪唑是主要原料之一。
由咪唑和2,4,ω-三氯苯乙酮為主要原料可製得果實殺菌劑伊邁唑。將2,4,ω-三氯苯乙酮加入無水甲醇中,加熱回流,滴加溴素。待溶液顏色逐漸消失後冷卻至0℃,加入咪唑,激烈攪拌3h。然後減壓蒸去甲醇。剩餘液倒入水中,用二氯甲烷萃取,萃取液回收二氯甲烷後加入稀硝酸成鹽,用水重結晶後再用氨水處理得到2',4'-二氯-2-咪唑苯乙酮。再進一步用硼氫化鈉還原成相應的醇,最後在氫氧化鈉和二甲基甲醯胺存在下,用烯丙基氯基化而製得伊邁唑(Enilconazde,也稱恩康唑)。伊邁唑與雙氯苯咪唑(咪康唑)的結構和生產方法有一些共同之處。雙氯苯咪唑是廣譜護真菌藥物,伊邁唑也是抗真菌藥,但廣泛用作水果的防腐劑(也稱Imazalil)。
咪唑用作環氧樹脂膠黏劑的固化劑,單獨使用不多。參考用量4~8份。固化條件70℃/8h或150℃/4h。固化物熱變形溫度117~166℃。咪唑與硫酸銅反應形成一個多元配位絡合物,在室溫時穩定,於90~110℃時分解與環氧基反應。同時,金屬離子也可與環氧基進行離子型聚合,進入到固化物中形成螯合體。一低溫時具。有良好的儲存穩定性,中溫又可迅速固化。這種咪唑金屬鹽用作雙氰胺固化劑的促進劑,可使固化溫度降低到120℃。
咪唑類主要用作環氧樹脂的固化劑,在日本占咪唑類消費量的一半以下,其用量為環氧樹脂的0.5%-10%咪唑類化合物可用作抗真菌藥、抗霉劑、低血糖治療藥、人造血漿等,還可用作治療、人造血漿等,還可用作治療滴蟲病及火雞黑頭病的藥物。
危險說明
危險代碼:C
危險等級:22-34
安全等級:26-36/37/39-45
聯合國編號:UN3263
咪唑系列衍生產品:
1-乙烯基咪唑
N-乙基咪唑
2-溴-4-硝基咪唑
1,2-二甲基咪唑
4-硝基咪唑
苯並咪唑
1-正丁基咪唑
4-碘1H-咪唑
1-(4-硝基苄基)咪唑
1-(4-氨基苄基)咪唑
2,5,6-三甲基苯並咪唑
2-(三氟甲基)苯並咪唑
2-羥基苯並咪唑
1-三苯甲基咪唑
2,4,5-三碘咪唑
4,5-二碘-1H-咪唑
碘化1-乙基-3-甲基咪唑
氯化1-辛基-3-甲基咪唑
氯化1-烯丙基-3-甲基咪唑
1-(2,4,6-三異丙基苯基磺醯)咪唑
2-硫醇基甲基苯並咪唑
1-(4-甲醛基苯基) 咪唑
1-(4-硝基苯)-1H-咪唑
1-(4-氨基苯基)咪唑
N-丙基咪唑
N-乙醯基咪唑
2-氯-4-硝基咪唑
2-巰基-1-甲基咪唑
2-十一烷基咪唑
2,4-二甲基咪唑
4,5-二苯基咪唑
4-氮雜苯並咪唑
2-甲基咪唑
4-甲基咪唑
4-碘咪唑。

