合理預期通貨膨脹
用合理預期因素來分析通貨膨脹問題,是傳統通貨膨脹理論與60年代末以後的新通貨膨脹理論的分界線。儘管J.M.凱恩斯、J.R.希克斯等經濟學家都曾涉及或研究過通貨膨脹預期問題,但只在合理預期學派興起之後,方才確立預期因素在通貨膨脹理論中的地位,並賦予其明顯的政策意義。早期的通貨膨脹預期假說 在合理預期理論提出之前,西方經濟學中對通貨膨脹預期的形成有過三種假說。
靜態的預期形成 其數學表達式為:
(1)
為第t年的物價水平,Pt-1為t-1年的物價水平。式(1)表明,人們預期的某年可能出現的通貨膨脹率等於上一年實際出現的通貨膨脹率。 外插型預期形成 其數學表達式為:
(2)
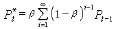
、Pt-1的意義同式(1); Pt-2為t-2年的物價水平;α為t年前2年的平均物價水平變動率。這種預期假說比靜態預期假說有所進步,它顯示人們對某年通貨膨脹率的預期不僅以上一年的實際通貨膨脹率為依據,還考慮到過去若干年通貨膨脹率的變動趨勢。如果α=0,則當期預期通貨膨脹率等於上一年實際通貨膨脹率,這與靜態預期形成機制相同;如果0<α ≤1,則表明當期預期通貨膨脹率高於上一年實際通貨膨脹率。 適應性預期形成 其數學表達式為:

)。更精確地說,t期預期通貨膨脹率是 (t-1)期實際通貨膨脹率和其預期通貨膨脹率的加權平均,β即為權數。式(3)可以轉換為: 
合理預期假說 美國經濟學家R.盧卡斯
、J.薩金特
等人60年代中期在批判適應性預期假說的基礎上提出了合理預期假說。 數學表述 設
和Pt為t期的預期通貨膨脹率和實際通貨膨脹率,It-1為t-1期可獲信息,則合理預期假說可用以下兩種形式表述:
(4)
(5)
影響 ①人們在進行通貨膨脹預期時,不僅僅憑過去的經驗,還要考慮未來可能發生的種種情況,特別是政府政策動向。②經濟體系每一按理性方式從事經濟活動的單位必將儘可能充分收集信息,進行判斷分析,從而按最有利於自身利益的目標選擇決策。
政策含義 ①政府的巨觀經濟政策效應可能被公眾的合理預期抵消,特別是擴張性貨幣政策,其效果本來就依賴於公眾存在“貨幣幻覺”,因而經濟政策不會影響產量、就業等實際經濟變數,而只能對價格等名義變數起作用。②通貨膨脹與失業之間無替代關係,從而使菲利普斯曲線成為一條垂直線。因為,在失業存在時,人們預期政府會採取通貨膨脹政策來擴大就業,而這會使實際工資下降。於是,工人在物價上漲之前就要求增加工資;而僱主則發現,通貨膨脹並沒有使實際工資下降,從而也就不增僱工人。③由於公眾能合理地預期通貨膨脹,即使短期內的貨幣供應增加,也不會產生壓低利率和刺激投資的效果。因為人們預計到貨幣供應增加後,物價會隨之上漲,因而會在簽訂借款契約或協定時,要求對利率有相應的貼水,實際利率便不會下降。

