研究歷程
可測基數
可測基數波蘭數學家巴拿赫(S.Banach)和波蘭數學家庫拉托夫斯基(K.Kuratowski)於1920年證明了:若則在連續統上不存在(可數可加)測度,因而,可測基數的存在性不是簡單的問題。研究可測基數,肇始於1930年的巴拿赫等人。兩種可測基數之間有如下關係:首先,由定義可直接可得,二值可測基數必是實值可測基數。其次,美國數學家烏拉姆(S.M.Ulam)於1930年證明了,每個實值可測基數要么要么是二值可測基數。於是可推知,在廣義連續統假設下,實值可測基數與二值可測基數相同。
利用以色列學者索洛韋(R.M.Solovay)於1971年的結果可以證明,實值可測基數κ必是弱馬赫羅基數,且小於κ的弱馬赫羅基數組成κ的駐子集,烏拉姆早在1930年就證明了最小的可測基數≥最小的不可達基數。大約1960年,開斯勒(H.J.Keisler)和波蘭學者塔爾斯基(A.Tarski)引入超積方法研究可測基數,證明了最小的可測基數比最小的不可達基數要大。另外,由於二值可測基數有樹性質,於是得知,二值可測基數必是弱緊基數,若假設“存在二值可測基數”的大基數公理成立,則有如下這些關於可構造公理與廣義連續統假設的結論:斯科特(D.S.Scott)於1961年用超冪方法證明了,若存在可測基數,則V≠L,即可構造公理不成立;羅伯托姆(F.Rowbottom)的下述結論更指出了大量的子集是不可構造的:若存在可測基數κ,則對每個滿足ω≤λ<κ的基數λ,僅有λ個可構造子集,特別地,ω僅有可數個可構造子集;法國數學家、工程師萊維(A.Lévy)和以色列學者索洛韋於1971年用力迫法證明了,設“ZF+存在可測基數”相容,則“ZF+存在可測基數+CH”以及“ZF+存在可測基數+ᒣCH”都相容,這兒CH表示連續統假設,此定理斷定,即使加上“存在可測基數”的假定,對於連續統假設的真假,ZF系統仍不能做出明確的判斷 。
基本介紹
可測基數可測基數(measurable cardinal)是一類重要的大基數,指利用抽象測度概念定義的基數。設κ是無窮基數,若任何基數為κ的集合A上,都存在λ可加實值測度(或λ可加2值測度),則稱κ是λ-C(或λ-2)可測基數。若κ>是κ-C(或κ-2)可測基數,則稱κ是實值可測(或二值可測)基數,兩者合稱為 可測基數。
可測基數
可測基數定義 設S是一無窮集,是單位閉區間,函式滿足下列性質:
可測基數(i);
可測基數
可測基數(ii) 如果,則有;
可測基數
可測基數(iii) 對所有,有;
可測基數(iv) 如果是兩兩不交的,則
可測基數
可測基數
可測基數
可測基數
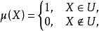
可測基數則稱是S上的一個非平凡的、可加實值測度。其中(iii)表示其非平凡性,(iv)表示其可加(即可數可加)性。若μ只取0,1二值,則稱是S上的二值測度。
設μ是S上一二值測度,令
可測基數
可測基數
可測基數
可測基數則U是S上的非主完全的超濾,反之,若U是S上完全的超濾。函式定義如下:
可測基數則μ又是S上的二值測度。
可測基數一般地,我們可以證明:如果μ是集S上的二值測度,則μ是κ-可加的充要條件為U是κ-完全的。
由於S上的κ-完全超濾和S上的κ-可加測度之間的這種內在聯繫,所以 也把 超濾說成為測度。
研究實值可測基數,也是大基數研究中一個子課題,這裡省略 。
相關性質定理
可測基數
可測基數引理S上的超濾U是κ-完全的充要條件為不存在S的r<κ個部分的劃分使得所有。
可測基數
可測基數
可測基數
可測基數
可測基數定義 設μ是S上一測度,集合稱為μ的原子,若,並且對每一個都有或。
可測基數S上的測度是非原子的,若沒有原子。
可測基數
可測基數
可測基數引理 若μ是κ上的非原子測度,則對任何Xκ,都存在不交的使得。
可測基數
可測基數定理 如果κ是具有非平凡的測度μ的最小基數,則μ是κ-可加的(即如果是κ的兩兩不交的子集族,λ<κ,則)。
推論 如果κ是具有非平凡的測度,則κ是不可及的。
可測基數定理 若κ上存在κ-可加非原子的測度,則κ。
定理 如果κ上的測度μ有原子,則κ上存在二值測。
可測基數定義κ是可測基數(Measurable cardinal)的充要條件為κ>ω且κ上有二值κ-可加非平凡的測度。或者說κ可測κ上存在κ-完全的非主超濾。
推論 可測基數是不可及基數 。

