概念
康普頓效應X射線與物質相互作用會產生:散射X射線、電子、螢光X射線;還有穿過物質的透射X射線和熱能。產生的電子包括有俄歇電子、光電子、和反衝電子。X射線散射中的非相干散射,當能量為hv的光子與自由電子或與受核束縛較弱的電子碰撞,將一部分能量傳給電子,使其動量提高,成為反衝電子。
對於光子散射後的狀況,相關論述已作探討,且散射後的光子數與散射體的電子密度有關係,相應地也提出了很多套用方面的研究,甚至有些套用已經非常成熟。但是對於散射後電子的狀態,還沒有較為全面的討論。
反衝電子的可能狀態
一般認為,未發生康普頓散射之前,電子繞核在一定軌道上運動,電子的能量狀態是量子化的,不同能級上電子的能量狀態不同。發生康普頓散射之後,電子獲得一定的能量,因此反衝電子的狀態也就南所獲得的能量值決定。
原有狀態
如果所獲得的能量為零(對應散射角度為0),此時電子將保持原有狀態。
電磁輻射狀態
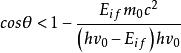
反衝電子假定躍遷所需能量為E,當光子散射角滿足
這時散射電子所獲得的能量將低於躍遷所需要的能量值,考慮到原子具有再生性特點,散射電子將把在
散射中獲得的能量以電磁輻射的形式輻射出去,並恢復到原來狀態。
激發態
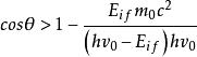
反衝電子當散射角滿足
此時,電子所獲得的能量滿足躍遷所需能量,電子可能躍遷至激發態。由於入射光子的擾動,處於激發態的光子仍有可能躍遷回原穩定態,同時輻射E的能量。
躍遷至激發態
反衝電子當散射角滿足
電子所獲得的能量超過躍遷所需能量,電子的行為可能表現為躍遷至激發態,同時把多餘的能量輻射出去。由於入射光子的擾動,處於激發態的光子仍有可能躍遷回原穩定態,同時輻射E的能量。不過,從量子力學角度看,由於電子躍遷到更高能級必須遵循一定的選擇定則,而電子所獲能量無法滿足該要求,因此,電子所處狀態應該與情形(1)一致:散射電子將把在散射中獲得的能量以電磁輻射的形式輻射出去,並恢復原狀,而不是發生躍遷。
反衝出原子束縛
反衝電子當散射角滿足
電子獲得的能量超過電子的逸出功形(電離能),可以逃離原子的束縛,從而被散射出來,真正成為反衝電子。當入射光子能量較高,反衝電子獲得的能量可能遠大於逸出功,此時就可以認為電子被反衝出原子的束縛,而忽略逸出功的影響。
由於原子中電子逸出功只有幾eV或十幾eV,因此可得入射光的能量最低量級為KeV。比如,鋁金屬形為2.50~3.60 eV,如取2.50 eV,而電子的靜能鼉為0.511MeV,代入可得0.800 KeV<hv。此不等式表示,只有入射光子的能量高於0.800KeV時,電子才可能因為獲得了入射光的部分能量而產生逃逸出原子外的情況。因此,如果入射光的能最不滿足入射光能量公式,不管散射角多大,散射電子都小會逃逸出原子的束縛,無法成為反衝電子。
當電子被反衝出原子的束縛時,這種散射與光電效應的光電子有相似之處,電子逃離原子的初動能等於獲得的能量減去逸出功。但更重要的是與光電效應相區別:
1)光電效應是對入射光子能量的傘部吸收,整個過程遵循能量守恆,康普頓散射則是部分的獲得入射光子的能量。在整個過程中,康普頓散射既遵循能量守恆也遵循動星守恆。
2)光電效應中無散射光,而康普頓散射中有散射光,且(當散射角不為零時)散射光的能量比入射光低。
3)光電效應中,入射光的能量大於等於逸出功,就可以得到光電子,而康普頓散射中,要使電子逸出,能量與逸出功之間必須滿足入射光能量公式。
4)光電效應中,電子獲得能量大於逸出功時,電子要逃離原子束縛成為光電子,而康醬頓散射中,由前面分析可知,電子散射後可能出現的狀態為保持原狀態,保持原狀態並電離出獲得的能量,躍遷,電離並以較高速度反衝出原子(獲得的能量遠高於逸出功時)等可能的狀態。

