定義
當中{ Xt}表示 X在時間 t的 瞬時活性度。
當中 Пj 是在所有的含有下標 j 的變數的積,對 Пi 亦同樣,該分數的分子,是反應物的活性至次方為反應係數 νj後相乘,而分母則為對產物的相似做法。所有的活性皆指時間 t。
隨著時間過去,假設沒有能量障礙的情況下,反應與生成物發生反應,因此反應商數會改變。最後,化物的活性度成為常數,這個時候混合物便可以說成達至平衡。因此,平衡常數 K則可以符號寫成為
K = Qr (t→∞)實際上,在大部分反應中,混合物會在有限時間內達至化學平衡。
2.對於任意氣相反應
反應商aA(g)+dD(g) eE(g)+fF(g)
反應商
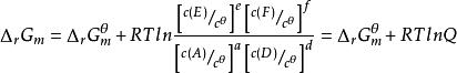
反應商在定溫定壓下,熱力學證明 和 存在下列關係:
反應商
反應商對於溶液中發生的反應,則有
反應商
反應商式中,
反應商此時的Q統稱為反應商(對於氣體反應稱為壓力商,對於溶液反應稱為濃度商)
與平衡位置關係
·如果 Qr < K : 反應向右移,即是正反應速度高於逆反應的。
·如果 Qr > K : 反應向左移,即是逆反應速度高於正反應的。
·如果 Qr = K : 反應到達平衡狀態根據范特霍夫等溫公式推導,反應商 Qr 與吉布斯自由能及標準形態的吉布斯自由能的關係如下:
ΔG = ΔG+ RT ln Qr
隨著時間過去,化物的活性度會成為常數,這個時候混合物便可以說成達至平衡。因此,平衡常數 K則可以符號寫成為
•K=Q(t→∞)
實際上,在大部分反應中,混合物會在有限時間內達至化學平衡。

