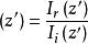
定義式
電壓反射係數:
反射係數Γ
電流反射係數:
反射係數Γ
基本釋義
反射光振幅與入射光振幅的比值,其數值多以百分數表示。反射係數的平方稱為反射率。
在電磁波在介質界面的傳播中, 。透射率為T=1—R
公式
反射係數
反射係數
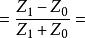
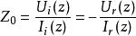
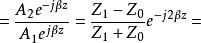
反射係數因為 ,所以:Γ(z') Γ(z')
反射係數
反射係數
反射係數
反射係數Γ(z) Γ ,其中Γ|Γ|稱為終端反射係數。
特性
對均勻無耗傳輸線,任意點反射係數大小均相等,沿線只有相位按周期變化,其周期為λ/2,因此稱反射係數具有λ/2重複性。
相關理論
反射係數與透射係數(reflection/transmission coefficient) 當電磁波由一個磁導率為μ1、介電常數為ε1的均勻介質,進入另一個具有磁導率為μ2、介電常數為ε2的均勻介質時,一部分電磁波在界面上被反射回來,另一分電磁波則透射過去。反射波與透射波的振幅同入射波振幅之比,分別稱之為反射係數與透射係數。斜入射的情況下,利用光學的反射和折射公式極為方便。但是,在平面波對平面邊界垂直人射的情況下,例如在傳輸線、波導及某些自由波的情形,波阻抗和特性阻抗的概念是有用的。
對於玻璃,反射係數大約為0.3。其他材料未知。

