卡門-錢學森公式[卡門-錢學森公式]
卡門-錢學森公式[卡門-錢學森公式]
卡門-錢學森公式[卡門-錢學森公式]
卡門-錢學森公式[卡門-錢學森公式]
卡門-錢學森公式[卡門-錢學森公式]
卡門-錢學森公式[卡門-錢學森公式]
卡門-錢學森公式[卡門-錢學森公式]
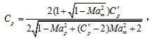
卡門-錢學森公式[卡門-錢學森公式]二維無黏性定常亞聲速流動中估算壓縮性對物體表面壓力係數影響的公式﹐是由卡門﹐T.von和錢學森在1939年推出的。二維無黏性定常亞聲速流動的速度勢方程在物理平面(x﹐y)中是非線性偏微分方程﹐通過適當變換﹐在速度平面(﹐)上﹐可化成線性方程﹐但邊界條件則是待定的﹐給求解帶來困難。為了解決這個困難﹐錢學森提出一種“切線氣體近似”法。其要點是﹕在以壓力和密度倒數1/為坐標的平面上﹐把經過點(﹐1/)的等熵關係曲線用(﹐1/)點處的切線來代替﹐﹑分別為無窮遠處來流的壓力和密度。引進一個假想的不可壓縮流動(見可壓縮流動)﹐其速度i同原來亞聲速流動中的速度之間滿足關係式﹕
卡門-錢學森公式[卡門-錢學森公式]
卡門-錢學森公式[卡門-錢學森公式]
卡門-錢學森公式[卡門-錢學森公式]
卡門-錢學森公式[卡門-錢學森公式]式中 和分別為不可壓縮流動和亞聲速流動中速度的微量變化﹐Ma為氣流的馬赫數。由此可得亞聲速流中二維物體表面某點壓力係數同不可壓縮流中類似物體對應點處壓力係數間的關係﹕
卡門-錢學森公式[卡門-錢學森公式]
卡門-錢學森公式[卡門-錢學森公式]
卡門-錢學森公式[卡門-錢學森公式]
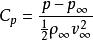
卡門-錢學森公式[卡門-錢學森公式]以上這個公式稱為卡門-錢學森公式。式中為來流的馬赫數﹐,為無窮遠處來流速度。對於翼型﹐亞聲速流和假想不可壓縮流中的兩個翼型繞流非常接近﹐故可利用這個公式直接根據翼型在不可壓縮流中的壓力係數進行可壓縮性修正﹐求出亞聲速流時的壓力係數。實驗證明﹐在整個亞聲速範圍內﹐用此公式能比較精確地估算出翼型上的壓力分布﹐同時還可估算出該翼型的臨界馬赫數值。
![卡門-錢學森公式[卡門-錢學森公式] 卡門-錢學森公式[卡門-錢學森公式]](/img/6/366/gZpdmLz91M1UzN1UzM1ITM4ATOxEDMwADMwADMwADMwATMw8iMx8yM18SbvNmLn52bk92bo5Cd0FmLyE2LvoDc0RHa.jpg)
