基本介紹
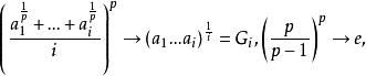
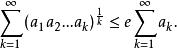
卡萊曼不等式卡萊曼(Carleman)不等式 (1)如果是任意非負數列,那么
卡萊曼不等式
卡萊曼不等式
卡萊曼不等式(2)若是任意正數列,而且級數收斂,則上式是嚴格不等式,即
卡萊曼不等式並且右邊的常數e不能用更小的正數代替 。
此不等式是T.Carleman於1923年得到的。
卡萊曼不等式的證明
卡萊曼不等式
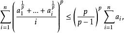
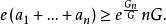
卡萊曼不等式Carleman不等式:設為正數,記的幾何平均值為G(i=1,2,…,,n),則
卡萊曼不等式證明
卡萊曼不等式
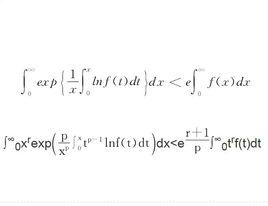
卡萊曼不等式事實上,若在哈代-蘭道不等式(Hardy-Landau不等式)中用代替,則得
卡萊曼不等式
卡萊曼不等式令,則因
卡萊曼不等式所以立刻得到不等式(1) 。
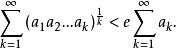
另外,不等式(1)也可用Redheffer不等式得到:
卡萊曼不等式
卡萊曼不等式令,這裡,則
卡萊曼不等式
卡萊曼不等式因為,所以可得出不等式(1) 。

