簡介
在古典幾何中,圓或圓的半徑是從其中心到其周邊的任何線段,並且在更現代的使用中,它也是其中任何一個的長度。 這個名字來自拉丁半徑,意思是射線,也是一個戰車的輪輻。半徑的複數可以是半徑(拉丁文複數)或常規英文複數半徑。半徑的典型縮寫和數學變數名稱為r。 通過延伸,直徑d定義為半徑的兩倍:d=2r。
如果物體沒有中心,則該術語可能指其周長,其外接圓的半徑或外接球體。 在任一情況下,半徑可以大於直徑的一半,通常將其定義為圖中任何兩個點之間的最大距離。 幾何圖形的半徑通常是其中包含的最大圓或球的半徑。 環,管或其他中空物體的內半徑是其空腔的半徑 。
對於常規多邊形,半徑與其周長相同。正多邊形的內半徑也稱為心距。在圖論中,圖的半徑是從u到圖的任何其他頂點的最大距離的所有頂點u的最小值。
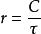
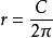
具有周長(圓周)C的圓的半徑為:
半徑[數學幾何中的術語]或者,這可以表示為
半徑[數學幾何中的術語]τ等於2π,儘管這還沒有獲得主流使用。
在坐標系中使用
極坐標
極坐標系是二維坐標系,其中平面上的每個點由固定點的距離和與固定方向的角度確定。
固定點(類似於笛卡爾系統的原點)被稱為極點,固定方向的極點的射線是極坐標軸。距離極點的距離稱為徑向坐標或半徑,角度為角坐標,極角或方位角。
圓柱坐標
在圓柱坐標系中,有一個選擇的參考軸和垂直於該軸的選定的參考平面。系統的起點是所有三個坐標可以給出為零的點。這是參考平面和軸之間的交點。
軸被不同地稱為圓柱形或縱向軸線,以便將其與位於參考平面中的射線(從原點開始並指向參考方向)區分開。
與軸的距離可以稱為徑向距離或半徑,而角坐標有時稱為角位置或方位角。半徑和方位角共同稱為極坐標,因為它們對應於平面中平行於參考平面的平面中的二維極坐標系。第三個坐標可以稱為高度或高度(如果參考平面被認為是水平的),縱向位置或軸向位置。
球面坐標
在球面坐標系中,半徑表示點與固定原點的距離。如果進一步由在徑向和固定天頂方向之間測得的極角以及方位角(即通過原點的參考平面上的正交投影的正交投影之間的角度)正交的位置,到天頂,並在該平面上固定參考方向。
直徑
直徑,是指通過一平面圖形或立體(如圓、圓錐截面、球、立方體)中心到邊上兩點間的距離,通常用字母“d”表示。連線圓周上兩點並通過圓心的直線稱圓直徑,連線球面上兩點並通過球心的直線稱球直徑。
詞語概念
基本解釋:
[diameter] 通過一平面圖形或立體(如圓、圓錐截面、球、立方體)中心到邊上兩點間的距離,通常用字母“d”表示。
引證解釋:
1、捷速,直接。
漢司馬相如《大人賦》:“西望 崑崙 之軋沕荒忽兮,直徑馳乎三危 。”
2.、連線圓周上兩點並通過圓心的直線稱圓直徑,連線球面上兩點並通過球心的直線稱球直徑。
宋沈括《夢溪筆談·技藝》:“以圓徑除所得,加入直徑,為割田之弧。”劉賓雁《一個人和他的影子》:“這是一個兩噸容量的鍋爐,胴體直徑一米四。”
數學術語
直徑是通過圓心且兩個端點都在圓上任意一點的線段.一般用字母d(diameter)表示。
直徑所在的直線是圓的對稱軸。
直徑的兩個端點在圓上,圓心是直徑的中點。直徑將圓分為面積相等的兩部分,中間的線段就叫直徑(每一個部分成為一個半圓)。
性質
性質一:
在同一個圓中直徑的長度是半徑的2倍,可以表示d=2r或r=d/2
證明:設有直徑AB,根據直徑的定義,圓心O在AB上。∵AO=BO=r,∴AB=2r
並且,在同一個圓中弦長為半徑2倍的弦都是直徑。即若線段d=2r(r是半徑長度),那么d是直徑。
反證法:假設AB不是直徑,那么過點O作直徑AB',根據上面的結論有AB'=2r=AB
∴∠ABB'=∠AB'B(等邊對等角)
又∵AB'是直徑,∴∠ABB'=90°(直徑所對的圓周角是直角)
那么△ABB‘中就有兩個直角,與內角和定理矛盾
∴假設不成立,AB是直徑
性質二:
在同一個圓中直徑是最長的弦。
證明:設AB是⊙O的直徑,CD是非直徑的任意一條弦,則可證明AB>CD恆成立。
連線OC、OD,根據圓的定義,OA=OB=OC=OD=半徑
∵CD不是直徑
∴CD不經過圓心O,即O、C、D三點可以構成三角形
在△OCD中,根據三角形三邊關係可知OC+OD>CD
∵OA=OB=OC=OD
∴OA+OB>CD
即AB>CD
![半徑[數學幾何中的術語] 半徑[數學幾何中的術語]](/img/a/776/nBnauM3X4IDOxYDO0czM5ITN1UTM1QDN5MjM5ADMwAjMwUzL3MzL1MzLt92YucmbvRWdo5Cd0FmL0E2LvoDc0RHa.jpg)
