簡介
面料懸垂性的套用動態懸垂性是指服裝在著裝者一定運動狀態下的懸垂程度、懸垂形態和飄動頻率。具有視覺美感的動態懸垂性在人步行或微風吹拂時,衣服能與人體協調,而人不動或風停止時,衣服又能恢復靜態的懸垂特性。
動態懸垂性的測量只需將原靜態的懸垂物繞傘軸轉動即可。須採用高速攝影記錄下懸垂織物的投影形態,便可將所有的靜態指標變為動態指標。
影響靜態懸垂性的因素也是影響動態懸垂性的因素。實驗中轉動速度及溫濕度對其有定的影響。溫濕度會影響織物的柔軟和增重,進而影響懸垂性。面料懸垂性在服裝設計中的運用造就了更加有動感的服裝形態。
測量方法與指標
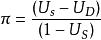
織物動態懸垂性測量的實質是體現織物靜態和動態懸垂度的差異,方法是將原靜態的懸垂試樣繞傘軸轉動,記錄懸垂織物在兩種狀態下的投影形態,按以下公式計算活潑率π:
動態懸垂性其中,Us和U分別為織物靜態和動態時的懸垂度。活潑率π值越大,說明織物動態時越容易飄起。活潑率π與真正的活潑還有區別,因為其未包含織物在旋轉中的扭動。
影響織態懸性的主要固素
就織物本身來說,影響織物靜態懸垂性的主要因素同樣也影響織物的動態懸垂性。此外,織物的彎曲滯後常數和剪下後常數對織物的動態懸垂性有較大的影響。一般來說,滯後常數越小,織物的動態懸垂性越好。就實驗條件來說,轉動速度的影響是顯而易見的,溫濕度的影響會導致織物的柔軟和增重,所以也有一定的影響。
發展與研究
由於計算機技術和圖像分析技術的發展,織物動態懸垂性測試將會有更多方法::採用人體穿著的模擬實驗與評價;計算機圖像處理技術獲取織物懸垂形態的分析,使懸垂指標評價體系愈加成熟和完善;採用有限元法模擬織物的造型,可預測織物的懸垂效果;利用織物的懸垂形態與其力學性能間的關係,反求織物的力學性能等。這些都有或均在研究和發展。

