簡介
織物的懸垂性是指織物因自身重量而下垂的程度和形態。織物的懸垂程度可以用物理指標表示,但織物的懸垂形態是一種視覺美感,涉及心理學和美學,也有各種表示方法的研究報導。另外,織物的懸垂性分靜態和動態。
靜態懸垂性是指織物在自然狀態下的懸垂度和懸垂形態。美的靜態懸垂性,是指人穿著衣服不動時,衣服無架子感,不會纏身,能形成流暢的曲面,各部分懸垂比例均勻、和諧,給人以協調的美感。
測試方法與表征
懸垂度測試方法織物靜態懸垂程度的測試方法有多種,最常用的是傘式法(或圓盤法)。該法是將面積為A的圓形試樣同心放於面積為A的小圓盤上,實測傘狀懸垂織物的投影面積A相關的測試方法如圖所示。
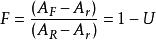
靜態懸垂性懸垂度U的值為0~1,U=0時,織物無懸垂;U=1時,織物完全懸垂。懸垂係數F與懸垂度U的物理意義正好相反。
影響因素
織物的懸垂是三維彎曲,在懸垂中既有彎曲又有剪下,因此,除影響織物彎曲性能的諸因素外,還涉及織物的交織阻力。一般認為懸垂程度類指標較多地表達織物的彎曲性能,懸垂形態類指標較多地反映織物的剪下性能。紗線抗彎剛度越大、織物交織阻力越大,織物靜態懸垂程度越低。
纖維剛柔性是影響織物懸垂性的主要因素。過分剛硬的纖維製成的織物懸垂性較差,如麻織物;柔軟的纖維製成的織物往往懸垂性較好,如羊毛織物;纖維細度細時有助於織物懸垂,如蠶絲織物。
紗線捻度小,抗彎剛度小,有助於織物的懸垂性。機織物交織點少、緊度降低、交織阻力變小、厚度降低、單位面積質量增加,都會導致織物懸垂度增大。針織物由於線圈結構特徵與機織物的交織情況不同,其懸垂性往往比機織物好。

