定理敘述
勒貝格微分定理
勒貝格微分定理
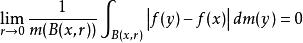
勒貝格微分定理設 為局部可積函式,m為 的勒貝格測度。那么 中幾乎處處的x都符合 。
勒貝格微分定理證明
因為這定理是關於函式的局部性質,不失一般性,可假設函式 f定義在有界集合中,故 f為可積函式。
定義
勒貝格微分定理
勒貝格微分定理那么這定理就是對幾乎處處的x有Tf= 0。只需證對任何y> 0,集合{Tf>y}的測度為零。
勒貝格微分定理
勒貝格微分定理對連續函式,這定理顯然成立。連續函式在 中稠密,故此對任意正整數n,有連續函式g使得 。
勒貝格微分定理令 。由於g連續,有Tg= 0。
用三角不等式有
勒貝格微分定理
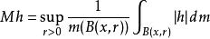
勒貝格微分定理設 。( Mh為 h的哈代-李特爾伍德極大函式。)從上式得
勒貝格微分定理
勒貝格微分定理因為 ,所以有
勒貝格微分定理
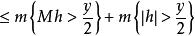
勒貝格微分定理若 Tf> y,則有 Mh> y/2或者| h| > y/2。因此
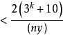
由哈代-李特爾伍德極大不等式得
勒貝格微分定理
勒貝格微分定理
勒貝格微分定理由積分的基本性質有 ,故得 。因此
勒貝格微分定理
勒貝格微分定理
勒貝格微分定理因為上式對所有正整數 n成立,從而知 m{ Tf> y}=0。定理得證。
