定義
在剛體平面運動中,剛體的任一平行於某固定平面的截面圖形 S(或其延伸)在任何瞬時,只要它的角速度和角加速度都不為零,則必有加速度為零的一點 Q’,稱為加速度瞬心。如以加速度瞬心 Q’為基點,則截面圖形(或其延伸)內的加速度分布情形就同它只繞固定平面上和 Q’重合的一點轉動時一樣,這時圖形上任一點 Q的加速度
公式
加速度瞬心
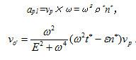
加速度瞬心式中 w和 ε為圖形的瞬時角速度和瞬時角加速度; v是 Q相對於 Q’的速度(見圖)。
速度瞬心 P’和加速度瞬心 Q’一般不重合。加速度瞬心具有速度 v,而速度瞬心具有加速度 a,它們分別為
加速度瞬心式中 v= v為速度瞬心沿其軌跡的遷移速度; p*為約化曲率半徑; t*和 n*為兩條瞬心軌跡在切點處的切向和法向的單位矢。

