剛性轉子的靜平衡
靜平衡的概念
當轉子的寬度b與直徑D之比(寬徑比)小於0.2時,例如砂輪、飛輪、齒輪、帶輪和盤形凸輪等,由於其軸向尺寸較小,故可近似地認為其所有的質量都分布在垂直於軸線的同一個平面內。如果轉子的質心位置不在迴轉軸線上,則當轉子轉動時,其偏心質量就會產生離心慣性力,從而在運動副中引起附加動壓力。當轉子的支承阻力很小時,在重力的作用下,質心將處於迴轉軸線下方,因為這種不平衡現象在轉子靜止時就能顯示出來,故稱為靜不平衡。如果轉子的質心位於迴轉軸線上就稱為靜平衡 。
靜平衡的設計
當轉子的結構不對稱時,為了消除離心慣性力的影響,設計時應首先根據其機構確定各偏心質量的大小和方位,然後計算出為平衡偏心質量所產生的慣性力而應加平衡質量的大小和方位,並將該平衡質量加於轉子上,以使所設計的轉子理論上達到靜平衡,這一過程稱為剛性轉子的靜平衡設計。
剛性轉子
剛性轉子
剛性轉子
剛性轉子
剛性轉子
剛性轉子
剛性轉子
剛性轉子
剛性轉子
剛性轉子
剛性轉子
剛性轉子
剛性轉子
剛性轉子
剛性轉子
剛性轉子
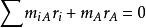
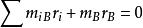
剛性轉子下圖所示為一盤狀轉子,其偏心質量分別為 、 、 及 ,迴轉半徑分別為 、 、 、 ,方位如圖所示,當轉子以角速度 等速迴轉時,各偏心質量所產生的離心慣性力分別為 、 、 、 ,它們組成一個平面匯交力系。根據平面匯交力系的合成原理,為平衡這些離心慣性力,可在此轉子加上平衡質量m,其迴轉半徑為r,使它所產成的離心慣性力F與 、 、 、 相平衡,亦使不平衡慣性力的矢量和為零,即:
剛性轉子
剛性轉子的靜平衡
剛性轉子則有:
或表示為:
剛性轉子
剛性轉子消去 得:
剛性轉子
剛性轉子式中, 叫做質徑積,它相對地表示各偏心質量在同一轉速下所產生的離心慣性力的大小和方向。
由上述分析可得如下結論:
(1)剛性轉子靜平衡的條件為各偏心質量所產生的離心慣性力的合力為零,或其質徑積的矢量和為零。
(2)對於靜不平衡的轉子,不論它有多少個偏心質量,只需要適當地加上一個平衡質量即可獲得平衡。
在實際設計過程中,也可以在需要加平衡質量的平衡向徑反方向相應去掉一部分材料,同樣能夠達到靜平衡 。
剛性轉子的動平衡
動平衡的概念
剛性轉子對於軸向尺寸較大的轉子( ),其質量就不能被認為分布在同一個平面內。這時,即使轉子的質心在迴轉軸線上,但由於各偏心質量所產生的離心慣性力不在同一迴轉平面內,所形成的慣性力偶仍使轉子處於不平衡狀態。這種不平衡在轉子的運轉的情況下才能完全顯示出來,故稱為動不平衡。
剛性轉子的動平衡
剛性轉子
剛性轉子
剛性轉子
剛性轉子如右圖所示為兩個相同的偏心輪1、2以相反的位置安裝在軸OO上,此時雖然 ;迴轉件的總質心S位於其軸線上,已達到靜平衡。但是,由於這兩個偏心輪迴轉時產生的慣性力 與 不在同一個迴轉平面內,從而產生慣性力偶矩; ,它將在軸承中引起動壓力。由此可見,該迴轉體雖然已達到靜平衡,但未達到動平衡。
當轉子各偏心質量引起的慣性力的合力和慣性力偶的合力偶都均為零時,則轉子就達到了動平衡。
因此,轉子動平衡的條件是:
剛性轉子(1)其慣性力的矢量和等於零,即: ,先滿足靜平衡條件。
剛性轉子(2)其慣性力矩的矢量和也等於零,即 。
動平衡的設計
為消除剛性轉子的動不平衡現象,設計時應首先根據轉子的機構確定各迴轉平面內偏心質量的大小和方位,然後計算所需增加的平衡質量的數目、大小及方位,以使所設計的轉子理論上達到動平衡。這一過程稱為剛性轉子的動平衡設計。
剛性轉子
剛性轉子
剛性轉子
剛性轉子
剛性轉子
剛性轉子
剛性轉子
剛性轉子
剛性轉子
剛性轉子如圖所示,設轉子具有的偏心質量分別為 、 、 ,分別位於平面1、2、3上,其迴轉半徑分別為 、 、 ,方位如圖所示,當轉子以等角速度 迴轉時,它們產生的慣性力 、 、 形成一空間力系。
剛性轉子動平衡設計解決這些慣性力及它們所產生的慣性力矩的平衡方法:
(1)選擇兩個垂直於轉子迴轉軸線的平衡基面,將各慣性力分解到這兩個平衡基面內。
(2)將分解到兩個平衡基面內的力系分別進行平衡。
剛性轉子
剛性轉子
剛性轉子
剛性轉子同樣仿照靜平衡的方法,對兩個平衡基面內匯交力系進行平衡計算,便可求出在兩個平衡基面上所加的平衡質量 、 及向徑 、 。
剛性轉子
剛性轉子由上述分析可得如下結論:
(1)剛性轉子動平衡的條件是,不同迴轉平面內各偏心質量的空間慣性力系的合力及合力矩均為零。
(2)對於動不平衡的剛性轉子,無論其有多少個偏心質量,均只需在任選的兩個平衡基面內各增加或減少一個合適的平衡質量,即可達到動平衡。因此,動平衡亦稱為雙面平衡,而靜平衡則稱為單面平衡。
(3)由於動平衡同時滿足了靜平衡的條件,故經動平衡設計的剛性轉子一定是靜平衡的,而經過靜平衡設計的剛性轉子則不一定是動平衡的。
剛性轉子的平衡試驗
剛性轉子的靜平衡試驗
導軌式平衡架
剛性轉子對於 的剛性轉子,可進行靜平衡試驗,靜平衡試驗設備比較簡單,一般採用帶有兩根平行導軌的靜平衡架,為減少軸徑與導軌之間的摩擦,導軌的連線埠形狀常作成刀刃狀和圓弧狀。下圖為靜平衡試驗設備示意圖。
試驗時先調整好兩導軌的水平狀態,然後把轉子放到軌道上讓其輕輕轉動。如果轉子不平衡,則偏心引起的重力矩將使轉子在軌道上滾動。當轉子停止時,轉子質心S必處於軸心線正下方。這時,在軸心的正上方。這時,在軸心的正上方任意半徑處加一平衡質量,再輕輕撥動轉子。反覆試驗,不斷調整平衡質量,直到轉子能在任何位置保持靜止,說明轉子的重心與其迴轉軸線趨於重合,即完成轉子靜平衡試驗。
剛性轉子動平衡試驗
剛性轉子對於 的剛性轉子,需進行動平衡試驗,即通過測量迴轉件旋轉時自身或支承的振動來測定迴轉件的不平衡程度並進行校正。和動平衡設計相同,動平衡試驗也需要兩個平衡平面。
動平衡試驗要在專門的動平衡機上進行。動平衡機的用途是確定加在兩個平衡平面上平衡質量的大小及方位。具體的動平衡機的類型規格很多,現代工業生產使用的動平衡機靈敏度、平衡精度以及自動化均較高,通常包括驅動系統、支承系統和測量系統三大部分、它的工作原理是通過測振感測器將轉子轉動所產生慣性力所引起的振動信號轉化為電信號的,再通過電子線路處理和放大,最後用電子儀器顯示出被試轉子的不平衡質徑積的大小和方位。下圖所示為一種動平衡機的工作示意圖。
動平衡機工作示意圖它通過平衡機主軸箱端部的小發電機信號作為轉速信號和相位基準信號,經處理成方波或脈衝信號,來使計算機的PIO口觸發中斷,使計算機開始和終止計數,可測出轉子旋轉周期。由測振感測器拾取的振動信號經過濾波和放大,輸入A/D轉換器,在輸入計算機,由信號處理軟體進行數據採集和解算,可得出兩個平衡平面上所需添加平衡質量的大小和相位 。

