簡介
列維-奇維塔符號(Levi-Civitasymbol),特別線上性代數,張量分析和微分幾何等數學範疇中很常見到,用以表示數字的集合;是對於1,2,…, n中某個正整數n所形成排列的正負符號來定義。它以義大利數學家和物理學家TullioLevi-Civita命名。其它名稱包括排列符號,反對稱符號或交替符號,是有關於反對稱的屬性與排列的定義。
希臘小寫字母ε或ϵ是表示列維-奇維塔符號的標準記號,較不常見的也有以拉丁文小寫e記號。下標符能與張量分析兼容的方式來顯示排列:
列維-奇維塔符號其中每個下標 i, i,..., i取值為1,2,..., n。有 n個索引值為 ε,可以排成為n-維陣列。
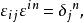
這個符號的關鍵定義是全部索引中的完全反對稱性。當任何兩個索引互換、相等或否定時,則符號的正負即有變化:
列維-奇維塔符號如果兩個索引相等,則此符號變為0。當全部索引都不相等時,我們有:
列維-奇維塔符號其中p(稱為排列的奇偶性質)是要將 i, i,..., i回復1,2,..., n的自然次序時,而索引所需的對換次數,而因子(−1)被稱為排列的符號。 ε的值必須有定義,否則所有排列的特定符號值是無法確定的。大多數作者選擇 ε=+1,表示列維-奇維塔符號等於各別索引不相等時的排列符號,在本文中使用這個定義。
“n-維列維-奇維塔符號”一詞是指符號n上的索引數,和所討論的向量空間維度相符,可以是歐幾里得或非歐幾里得空間,例如,ℝ或閔可夫斯基空間。列維-奇維塔符號的值與任何張量和參考坐標系無關。此外,特別固定的“符號”強調,它並不因為在坐標系之間如何變換而就是某一個張量;然而,它可以被理解為張量的密度。
列維-奇維塔符號讓我們可使用索引符號來表示方陣的行列式,及三維歐幾里德空間中的兩個向量的叉積。
定義
列維-奇維塔符號最常用於三維和四維,並在一定程度上用於二維,因此在定義一般情況之前給出這些符號。
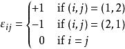
二維
在二維中,列維-奇維塔符號定義如下:
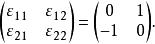
列維-奇維塔符號這些值可以排列成2×2反對稱矩陣:
列維-奇維塔符號二維的列維-奇維塔符號的使用,相對於其它維度並不常見,雖然在某些專門的主題,如超對稱和二極體理論,它出現在2-旋量的上下文中。三維以上的列維-奇維塔符號更常用。
推廣到n維
更一般地推廣到 n維中,則列維-奇維塔符號的定義為:
列維-奇維塔符號若a1,a2,....,an是1,2,...,n的偶排列,值為+1;若a1,a2,....,an是1,2,...,n的奇排列,值為-1;其它,值為0。
兩個列維-奇維塔符號的積可以用一個以廣義克羅內克函式表示的矩陣的行列式求得:
列維-奇維塔符號性質
由列維-奇維塔符號給出(共變等級為n)張量在正交基礎中的組成部分,有時稱為“排列張量”。
根據普通的張量變換規則,列維-奇維塔符號在純旋轉下不變,與正交變換相關的所有坐標系統(在定義上)相同。然而,列維-奇維塔符號是一種贗張量,因為在雅可比行列式−1的正交變換之下,例如,一個奇數維度的鏡射,如果它是一個張量,它“應該”有一個負號。由於它根本沒有改變,所以列維-奇維塔符號根據定義,是一個贗張量。
由於列維-奇維塔符號是贗張量,因此取叉積的結果是贗張量,而不是向量。
在一般坐標變換下,排列張量的分量乘以變換矩陣的雅可比。這表示在與定義張量的坐標系不同的坐標系中,其組成部分與列維-奇維塔符號表示的那些,不同之處在於一整體因子。如果坐標是正交的,則根據坐標的方向是否相同,因子將為±1。
在無索引的張量符號中,列維-奇維塔符號被霍奇對偶的概念所取代。
在使用張量的索引符號來操作分量的上下文中,列維-奇維塔符號可以將其索引寫為下標或上標,而不改變意義,這也許是方便的如下寫成:
列維-奇維塔符號在這些例子中,上標應該被視為與下標相同。
使用愛因斯坦標記法可消除求和符號,其中兩個或多個項之間重複的索引表示該索引的求和。例如,
列維-奇維塔符號以下的例子使用愛因斯坦標記法。
二維
在二維上,當所有i,j,m,n各取值1和2時,
列維-奇維塔符號
列維-奇維塔符號
列維-奇維塔符號三維
索引和符號值
在三維中,當所有i,j,k,m,n各取值1,2和3時:
列維-奇維塔符號
列維-奇維塔符號
列維-奇維塔符號