簡介
如圖所示,直母線切一空間曲導線AB於點A,直母線連續運動到素線I B位置,切空間曲導線AB於點I,直母線如此連續運動,並始終保持與曲導線相切所形成的曲面。
切線曲面切線曲面定理
定理1
切線曲面曲線 的切線曲面上的漸近線為直線或平面曲線
切線曲面證明:曲面的第二基本形式Ⅱ =
由上式知,ds = 0或k = 0或τ = 0。
若ds = 0,則s為常數,v可取任意值,代表的是v—曲線即直母線;若k = 0代表所給的曲線是直線;若τ = 0代表所給的曲線是平面曲線。
定理2
曲線的切線曲面的曲率線為直線或平面曲線。
證明:切線曲面的主方向滿足下面的式子
切線曲面的主方向化簡得:
切線曲面上式若成立,則下列四種情況:
(1)k=0
(2)τ=0
(3)ds=0
(4)ds+dv=0
其中至少一種是成立的。
若k = 0,則曲線是直線; 若τ = 0,則曲線是平面曲線; 若s = c1,代表的曲線是曲面的直母線; 若ds + dv = 0,即s + v = c2,同樣代表一條直線。
定理3
切線曲面曲線Γ: 的切線曲面上的腰曲線為曲線本身。
定理4
Bertrand曲線的切線曲面的曲率線為圓。
證明:根據引理1,Bertrand曲線滿足λk + μτ = 1,定理2中的四種情況可分為兩類: (1)k = 0; (2)τ =0,根據曲率和撓率之間的關係,若k = 0,則可得τ= 0。不滿足上述關係式; 若τ = 0,則k為非零常數,k為非零常數的平面曲線為圓,故Bertrand曲線的切線曲面的曲率線為圓。
定理5
兩條達布曲線對的切線曲面在對應點處直母線成固定角。
切線曲面
切線曲面
切線曲面證明 記兩條曲線分別為r和 ,對應 的 切 線 曲 面 分 別 為:x(s,v)= r(s)+vα(s) ; 對應點處考慮直母線,則s為常數。對v求導得 ,則切線曲面在對應點處直母線成固定角。則切線曲面在對應點處直母線成固定角。
定理6
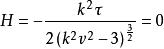
Bertrand曲線的切線曲面的的極小軌跡為圓。
切線曲面證明:由H=0知, ,即k=0或τ=0。
切線曲面對Bertrand曲線有 代入有兩種可能:
(1)k= 0時,τ為常數,這種情況不可能存在;
(2)τ= 0時,k為常數,即表明所求軌跡為圓。
定理7
Mannheim曲線的切線曲面的的極小軌跡為直線或圓。
切線曲面證明:由H=0知,,即k=0或τ=0。
切線曲面對Mannheim曲線有,代入有兩種可能:
(1)k= 0時,τ =0,此時表示的曲線是直線;
(2)τ= 0時,k=0或為非零常數,即所求極小軌跡為直線或圓。

