簡介
分配係數,分析化學概念之一。所謂分配定律是指一定溫度下,物質A在兩種互不相溶的溶劑中達到分配平衡時在兩相中的活度(常近似為濃度)之比,即分配係數,為一常數。分配係數可用於表示該物質對兩種溶劑的親和性的差異。對分配係數的測定可提供該物質在環境行為方面許多重要的信息。
分布係數常用的溶劑體系是由水與一種與水不互溶的有機溶劑組成,如正辛醇-水體系,所得的分配係數稱為辛醇-水分配係數()。之所以用辛醇是因為該體系近似於體內脂細胞膜-胞質溶膠體系對有機物的分配。
定義
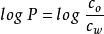
分配係數(P)為某物質的未解離形態在兩相中的活度之比。測量可離解物質的分配係數時,需要調整溶液pH以使該物質主要是以未解離的形態存在於溶液中。log P為P的常用對數。
分布係數
分布係數
分布係數,為物質在有機相中的活度,為物質在水相中的活度
分布係數
分布係數
分布係數值越大,表明物質對有機相的親和性(親脂性)越高,親水性越低。非極性化合物的一般大於0,極性化合物的一般小於0。
測定方法
測定分配係數最經典的方法是振盪法,即將研究的物質溶解於一定量的兩種溶劑中,充分混合併靜置,然後用紫外-可見光譜或其他測定方法測得兩相中該物質的濃度,算出分配係數。這一方法的優點是簡單、適用物質範圍廣、測定前不需獲得物質結構。不過它也有不少缺點,比如耗時長(需至少24小時以達到分配平衡)、樣品用量大、吸光度在所測濃度範圍應與濃度呈正比(比爾-朗伯定律)等。特別是當物質的親水性或親脂性十分明顯時,物質在某一相中的濃度就會相當低,這時就很難準確測得相應的濃度和分配係數。
其他方法還有產生柱法、高效液相色譜法和電化學法等。
估算
由於分配係數比較難測定,並且耗費時間和金錢,因此常通過加和分子中原子和基團常數值的方法估算某一化合物的分配係數。這一方法在藥物化學中特別有用,通過估算藥物的正辛醇-水分配係數,可以進一步估算藥物在人體脂和水的分配係數,用於定量構效關係計算藥物在人體組織中的含量。
參見
•分配比(或稱分布係數)
•分離係數

