什麼是出口市場占有率
出口市場占有率是指一國出口總額占世界出口總額的比例。它包括在開放的國際市場上,某種國產品銷售額占世界該類產品總銷售額的比重、某種國產品出口額占世界該類產品總出額的比重。一個產業的國際競爭力大小,最終將表現在該產業的產品在國際市場上的占有率。在自由、良好的市場條件下,本國市場和國際市場一樣,都是對各國開放的。一種產品在國際市場的占有率,反映該產品所處產業的國際競爭力大小。
出口市場占有率的計算
出口市場占有率反映一國出口的整體競爭力,比例提高說明競爭力增強,即:
出口市場占有率= 一國出口總額/世界出口總額
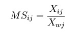
其計算公式為:

式中:MSij表示i國家j產品的市場占有率指數;Xij表示i國家j產品的出口總額;Xwj表示世界j產品的出口總額。MSij值越高,表示該產品所處的產業國際競爭力就越強,反之則越弱。
舉例說明:
中國信息服務貿易市場占有率指數,見下表:

出口市場占有率的評價
採用此種指標最大的優點就是概念清楚且計算簡單,但是它無法客觀比較同一國家不同產品或不同國家相同產品的出口競爭力,其分析與解釋上受到相當的限制。例如,假設我國與馬來西亞之電子業對全球市場之占有率皆為10%,或我國電子業與紡織業出口占我國總出口值皆為10%,此並不一定代表我國與馬來西亞電子業的出口競爭力相同或我國的電子業與紡織業的出口競爭力相同,因為其缺乏考慮各國經濟規模大小以及各產品在全球市場的重要性。
