意義
在研究函式圖形的變化時,僅僅研究單調性並不能完全反映它的變化規律。如圖1,函式雖然在區間[a,b]內單調遞增,但卻有不同的彎曲狀況,從左到右,曲線先是向下凹,通過P點後改變了彎曲方向,曲線向上凸。因此,在研究函式的圖形時,除了研究其單調性,對於它的彎曲方向及彎曲方向的改變點的研究也是很有必要的。從圖1明顯可知,曲線向下凹時,彎曲的弧段位於這弧段上任意一點的切線的上方,曲線向上凸時,彎曲的弧段位於這弧段上任意一點的切線的下方。
基本概念
凹函式和凸函式
凸性[數學術語]
凸性[數學術語]
凸性[數學術語]如果在某區間 I內,連續函式 的曲線弧位於其上任意一點切線的上方(下方),則稱曲線在這個區間內是凹的(凸的),區間I稱為函式 的凹區間(凸區間),記為 ,函式 則為區間 I上的 凹函式( 凸函式)。
凸性的定義
連續曲線上,凹曲線和凸曲線的分界點稱為曲線的 拐點。
曲線的凹或凸統稱為曲線的 凸性,顯然,只要知道了函式的凸性即找到函式的凹凸區間,拐點就顯而易得。
判斷曲線的凸性
凸性[數學術語]設函式 在區間[a,b]上連續,在(a,b)內具有二階導數,則:
凸性[數學術語]
凸性[數學術語]①如果 時,恆有 ,則曲線 在[a,b]內是凹的;
凸性[數學術語]
凸性[數學術語]
凸性[數學術語]②如果 時,恆有 ,則曲線 在[a,b]內是凸的。
凸性[數學術語]
凸性[數學術語]
凸性[數學術語]
凸性[數學術語]因為 時, 單調增加,即斜率 由小變大,曲線是凹的,如圖2、3所示;反之,如果 時, 單調減少,即斜率 由大變小,曲線是凸的,如圖4、5所示。
凸性[數學術語]
凸性[數學術語]
凸性[數學術語]
凸性[數學術語]
凸性[數學術語]
凸性[數學術語]拐點既然是曲線上凸凹的分界點,故在拐點的左右鄰域 必然異號,而拐點處的二階導數 或 不存在,因此在確定拐點時,首先找到 或 不存在的點,以這些點將定義域劃分為若干個子區間,然後檢驗這些點左右鄰域 的符號,若異號則為拐點,否則不是拐點。
例題解析
凸性[數學術語]例1 求曲線 的凹凸區間與拐點。
解: 易知,定義域為(-∞,+∞),求導數得
凸性[數學術語]
凸性[數學術語]
凸性[數學術語]令 ,得 ,且二階導數沒有不存在的點。
凸性[數學術語]以 為分界點,將定義域劃分為3個子區間,並討論函式在各子區間上的凸性及拐點,見表1。
| x | (-∞,0) | 0 | (0,1) | 1 | (1,+∞) |
| y'' | + | 0 | - | 0 | + |
| y | ∪ | 拐點 | ∩ | 拐點 | ∪ |
從表1可知,該曲線的凹區間為(一∞,0),(1,+∞),凸區間為(0,1);曲線的拐點為(0,1)和(1,0)。
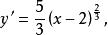
凸性[數學術語]例2 求曲線 的凹凸區間及拐點。
解: 易知,定義域為(-∞,+∞),求導數得
凸性[數學術語]
凸性[數學術語]
凸性[數學術語]
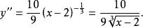
凸性[數學術語]由二階導數可知,無 的點;當 時, 不存在.見表2。
| x | (-∞,2) | 2 | (2,+∞) |
| y'' | - | 不存在 | + |
| y | ∩ | 拐點 | ∪ |
由表2知,曲線的凹區間為(2,+∞),凸區間為(-∞,2);拐點為(2,0)。
![凸性[數學術語] 凸性[數學術語]](/img/c/d2f/nBnauM3X2YDN4UTM0EDOyUTN1UTM1QDN5MjM5ADMwAjMwUzLxgzL3IzLt92YucmbvRWdo5Cd0FmLxE2LvoDc0RHa.jpg)
