介紹
在電子學中,共漏極放大器(也稱為源極跟隨器)是三種基本的單級場效應電晶體(FET)放大器拓撲之一,通常用作電壓緩衝器。在該電路(NMOS)中,電晶體的柵極端子用作輸入,源極是輸出,漏極對於它們的名稱(輸入和輸出)都是公共的。類似的雙極結電晶體電路是共集電極放大器。該電路通常也稱為“穩定器”。
此外,該電路用於變換阻抗。例如,由具有高Thévenin電阻的電壓源驅動的電壓跟隨器的組合的Thévenin電阻僅減小到電壓跟隨器的輸出電阻(小電阻)。電阻降低使組合成為更理想的電壓源。相反,插入在驅動級和高負載(即低電阻)之間的電壓跟隨器向驅動級提供無限電阻(低負載) - 將電壓信號耦合到大負載的優點 。
特點
在低頻時,右圖所示的源跟隨器具有以下小信號特徵。
| Definition | Expression | Approximate expression | Conditions | |
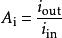
| Current gain | 共漏極 | 共漏極 | 共漏極 | |
| Voltage gain | 共漏極 | 共漏極 | 共漏極 | 共漏極 |
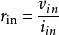
| Input impedance | 共漏極 | 共漏極 | 共漏極 | |
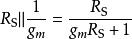
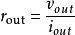
| Output impedance | 共漏極 | 共漏極 | 共漏極 | 共漏極 |
共漏極
共漏極
共漏極
共漏極
共漏極
共漏極
共漏極
共漏極
共漏極
共漏極 