介紹
辨識一個場效應管放大器電路是共源極、共柵極還是共漏極的簡易方法為,檢查信號輸入和輸出的通路,剩餘的那一端即為“公共端”。在右圖的例子中,信號從柵極進入 ,從漏極離開。唯一剩餘的一端為源極,因此它是共源極。在雙極性電晶體中,類似的概念稱作共射極。
特性
在低頻和使用簡化的混合pi模型時,可以導出以下小信號特性。
| Definition | Expression | |
| 目前的收益 | 共源極 | 共源極 |
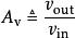
| 電壓增益 | 共源極 | 共源極 |
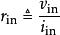
| 輸入阻抗 | 共源極 | 共源極 |
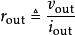
| 輸出阻抗 | 共源極 | 共源極 |
共源極
共源極
共源極
共源極
共源極
共源極
共源極 