基本釋義
共射極放大電路上圖為共射極放大電路,輸入迴路與輸出迴路以三極 管的發射極為公共端。輸入信號u通過電容C加到三極體的基 極,引起基極電流i的變化,i的變化又使集電極電流i發生變 化,且i的變化量是i變化量的β倍。由於有集電極電壓,u= U-iR,u中的變化量經耦合電容C傳送到輸出端,從而得 到輸出電壓u。當電路中的參數選擇恰當時,便可得到比輸入信 號大得多的輸出電壓,以達到放大的目的。
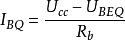
( 1) 靜態工作點
共射極放大電路I=βI
U=U-IR
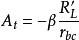
( 2) 電壓放大倍數
共射極放大電路其中,R′=R∥R。
(3) 輸入電阻
R=R∥r
共射極放大電路其中,
(4 ) 輸出電阻
R=R
共射極放大電路的結構簡單,具有較大的電壓放大倍數和電 流放大倍數,輸入和輸出電阻適中,但工作點不穩定,一般用在溫 度變化小,技術要求不高的情況下。
特點
1、輸入信號和輸出信號反相;
2、有較大的電流和電壓增益;
3、一般用作放大電路的中間級。
4、共射極放大器的集電極跟零電位點之間是輸出端,接負載電阻.
掌握了解
作為最常用的放大電路,我們必須掌握以下內容
1、三極體的結構、三極體各極電流關係、特性曲線、放大條件。
2、元器件的作用、電路的用途、電壓放大倍數、輸入和輸出的信號電壓相位關係、交流和直流等效電路圖。
3、靜態工作點的計算、電壓放大倍數的計算。
信號傳遞
共射極放大電路如圖所示,共射極放大電路所要放大的是交流小信號Vi,Vi通過耦合電容C1以電壓的形式加到三極體的B~E之間,以電流的形式通過B~E。電子(負電荷)的傳遞方向為E~B。Vcc和Rb用來提供B~E接面適當的正向偏壓以及可使三極體進入線性工作區的電流。這個部分稱為輸入迴路。Vcc和Rc用來提供B~C接面適當的反向偏壓。電子(負電荷)的傳遞方向為B~C。集電極收集大量電子(負電荷),少數空穴(正電荷)漂移到基極與基極的空穴一起複合掉一部分E向C的電子(負電荷)。被複合掉的基區空穴由基極電源Eb重新補給。由於E的電子濃度大於B,電位小於B,電源Eb在補充空穴的同時帶來了從E~B~C的大量電子。三極體完成放大電流作用。放大了的信號電流通過Rc在C極上產生壓降。這個壓降就是輸出端信號電壓,是交流,可以通過電容C2耦合出去。Vcc,Rc和三極體CE極構成輸出迴路。RL是負載電阻。
