物質內容
中文名稱: 六水高氯酸鎘
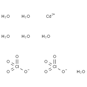
英文名稱: cadmiumPerchlorateHexahydrate
六水高氯酸鎘 CAS: 10326-28-0
MDL: MFCD00015992
分子式: CdCl2H12O14
分子量: 419.40
SMILES: [O-][Cl](=O)(=O)=O.[O-][Cl](=O)(=O)=O.O.O.O.O.O.O.[Cd+2]
屬性
敏感性 Hygroscopic危險屬性
危險類別碼 8-36/37/38安全說明 17-26-36/37/39
危險品運輸編號 1481
HazardClass 5.1
PackingGroup II
存儲(Store.):Storeinacool,dryarea
