詳細描述
公制支數(metric count)是毛紡、麻紡行業曾經使用的表示纖維、紗線粗細程度的計量指標。在公定回潮率時,1g重量的纖維或紗線所具有的長度(m)。屬非法定計量單位。纖維或紗線越細,公制支數越高。股線的公制支數,以組成股線的單紗公制支數除以股數來表示,如(50/2)公支,表示兩根50公支單紗並捻的雙股線。如股線中單紗的公制支數不同,則把單紗的公制支數並列,用斜線劃開,如(24/28)公支。公制支數倒數的1000倍可換算為“線密度”值。
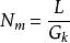
計算公式
可按下式計算:
公制支數
公制支數
公制支數式中 為紗線的公制支數;L為紗線的長度(m); 為紗線在公定回潮率時的質量(g)。
對同一種纖維而言,支數越高,表示纖維越細。公制支數為線密度的非法定計量單位。 棉紡織毛紡織行業都有使用。
支數
表示纖維和紗線粗細程度的一種參數。以單位重量的纖維或紗線在公定回潮率時的長度表示。公制支數以1克重的纖維或紗線所具有的長度(米)表示。例如,某種紗1千克重時有50千米長,該紗即為50支紗。英制支數以1磅重的紗線所具有的絞數(棉紗線每絞長840碼)表示。纖維或紗線越細,支數就越高。
