概念
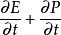
一般情形下,通過空間某截面的電流應包括傳導電流與位移電流和運流電流,其和稱全電流(total current) 。即:傳導電流Ic + 運流電流Iv + 位移電流Id = 全電流,其中:Ic指導體內自由電荷定向移動所形成的電流;Iv指導體外自由電荷定向移動所形成的電流;Id指變化的電場所等效的電流。如安培環路定理中的I就可以理解為全電流。
全電流是連續的,在空間構成閉合迴路。導線中有傳導電流(一般,導體中也有很小的位移電流),而電容器中有位移電流,即傳導電流中斷處,有位移電流接上。
電流
科學上把單位時間裡通過導體任一橫截面的電量叫做電流強度,簡稱電流。通常用字母 I表示,它的單位是安培(安德烈·瑪麗·安培),1775年—1836年,法國物理學家、化學家,在電磁作用方面的研究成就卓著,對數學和物理也有貢獻。電流的國際單位安培即以其姓氏命名),簡稱“安”,符號 “A”,也是指電荷在導體中的定向移動。
導體中的自由電荷在電場力的作用下做有規則的定向運動就形成了 電流。
電源的電動勢形成了電壓,繼而產生了電場力,在電場力的作用下,處於電微安(μA)1A=1 000mA=1 000 000μA,電學上規定:正電荷定向流動的方向為電流方向。金屬導體中電流微觀表達式I=nesv,n為單位體積內自由電子數,e為電子的電荷量,s為導體橫截面積,v為電荷速度。
大自然有很多種承載電荷的載子,例如,導電體內可移動的電子、電解液內的離子、電漿內的電子和離子、強子內的夸克。這些載子的移動,形成了電流。
傳導電流
傳導電流是指導電媒質中運動電荷形成的電流稱為傳導電流。傳導電流與電場強度之間的關係滿足歐姆定律。傳導電流密度用Jc表示。
傳導電流中的帶電微粒(如金屬中的自由電子、電解質溶液中的正負離子、氣體中的離子和電子)在電場作用下,在導體內部做定向運動而形成的電流。傳導電流僅存在於導體中,其幅值與外加電場的頻率無關。
在交變場的作用下,介質中有兩種性質不同的電流存在,傳導電流是其中的一種。傳導電流相當於自由電子的定向運動,並由介質的電阻率所決定。傳導電流通過導體時不但產生焦耳熱,而且在導體周圍空間激發渦旋磁場。在低頻交流電法中主要考慮傳導電流對電磁場分布的作用。
位移電流
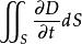
在電磁學裡,位移電流 (displacement current) 定義為電位移通量對於時間的變化率:
全電流位移電流的單位與電流的單位相同,在SI單位制中單位為安[培]。如同真實的電流,位移電流也會產生磁場。但是,位移電流並不是移動的電荷所形成的電流;而是電位移通量對於時間的偏導數,故它不具有傳導電流所具有的其它效應,如焦耳熱效應和化學效應。
考慮到上式的求導和積分順序可以交換,上式也可被改寫為
全電流
全電流式中的稱位移電流密度。
全電流
全電流
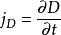
全電流位移電流是指穿過某曲面的電位移通量φD的時間變化率。這是麥克斯韋(1861~1862年)首先引出的一個概念。因為ΦD=ΦsD·ds,所以位移電流又可表示為i位=。式中稱為位移電流密度矢量j位=。
全電流
全電流這樣,位移電流等於曲面上位移電流密度的面積分。又因D=ε0E+P,E為電場強度矢量,P為該點的極化強度矢量,則位移電流密度j位=ε0為介質極化強度隨時間的變化率,它與極化電荷的移動相聯繫。在真空中這一項等於零,這時j位=ε0,它與電場強度隨時間的變化率相聯繫,是位移電流的基本組成部分。這個基本部分與電荷的運動無關,本質上是隨時間變化的電場。麥克斯韋認為位移電流以與傳導電流相同的方式激發磁場。亦即變化著的電場在其周圍空間激發磁場。這樣,磁場可由傳導電流激發,也可由變化的電場激發,這一假說是產生電磁波的必要條件之一。而在實驗驗證了電磁波的存在之後,這一假說就上升成為電磁理論的基本組成之一。真空中的位移電流,只相當於電場強度隨時間的變化,不伴有電荷或任何別的實體的任何運動。即使在介質中,位移電流也不產生化學效應和焦爾熱。
運流電流
運流電流又稱“對流電流”。帶電介質或介質中的帶電部分在空間運動所形成的電流。是指電荷在不導電的空間,如真空或極稀薄氣體中的有規則運動所形成的電流。
真空電子管中由陰極發射到陽極的電子流,帶電的運動著的雷雲運動所形成的電流都是運流電流。相對於觀察者以速度v運動的電荷元ρdV(ρ為電荷的體密度,dV為體積元)形成的運流電流密度為ρvdV。
