定義
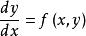
一階顯式方程
全微分方程
全微分方程
全微分方程可以改寫成關於 和 的對稱形式
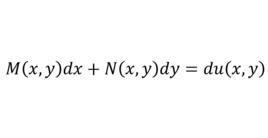
全微分方程(1)
全微分方程
全微分方程
全微分方程
全微分方程這種形式有時便於求解。這裡 和 在某一矩形域 內是 的連續函式,且具有連續的一階偏導數。
全微分方程如果存在一個二元函式 使得該方程的左端恰好是它的全微分,即有
全微分方程
全微分方程
全微分方程則稱其為全微分方程(或恰當方程),而函式 是 的原函式。
全微分方程的通積分形式
全微分方程
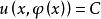
全微分方程當方程 是全微分方程時,它可寫成 ,於是其通積分就是
全微分方程(2)
全微分方程其中 為任意常數。
全微分方程事實上,設 是原方程的解,則有
全微分方程即有
全微分方程
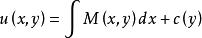
全微分方程對 積分得到
全微分方程
全微分方程這表明滿足方程(2)。
全微分方程反之,設是函式方程(2)的解,即它是由(2)所確定的隱函式,則有
全微分方程
全微分方程對微分得到
全微分方程即
全微分方程
全微分方程這表明滿足方程(1)。
全微分方程因此全微分方程的通積分形式是。
全微分方程
全微分方程根據上述表述,為了求解方程(1),只要求出的一個原函式,就可得到方程(1)的通積分(2)。
全微分方程的判別與求解
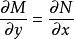
①如何判別方程(1)為全微分方程,這個問題在數學內早有結論,即
方程(1)是全微分方程的充分必要條件是
全微分方程
全微分方程在矩形域內成立。
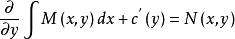
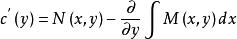
全微分方程②如果已判定方程(1)為全微分方程,如何求出相應全微分的原函式,這個問題在數學分析中也已經得到解決,最常用的方法是不定積分法。
全微分方程因為所求的原函式適應方程組
全微分方程
全微分方程
全微分方程首先由第一個式子出發,把看成參數,兩邊對積分,得
全微分方程
全微分方程
全微分方程
全微分方程
全微分方程其中是的任意可微函式,而且要選擇適當的,使滿足第二個式子。為此,將其代入第二個等式得
全微分方程即
全微分方程
全微分方程
全微分方程
全微分方程兩邊對積分,即可得到,再代回之前的積分,即可得到。
全微分方程但對於某些特殊的全微分方程,為了求出相應全微分的原函式,還可以採用相對簡單的“分組湊全微分”的方法,即把方程的左端各項進行重新組合,使每個組的原函式容易觀察得出,從而可以寫出。
而對於不是全微分的方程,可以採用積分因子使其成為全微分方程,再根據以上方法求解。

