定律定義
光電效應 光照射到金屬上,引起物質的電性質發生變化。這類光變致電的現象被人們統稱為光電效應(Photoelectric effect)。光電效應分為光電子發射、光電導效應和阻擋層光電效應,又稱光生伏特效應。前一種現象發生在物體表面,又稱外光電效應。後兩種現象發生在物體內部,稱為內光電效應。
按照粒子說,光是由一份一份不連續的光子組成,當某一光子照射到對光靈敏的物質(如硒)上時,它的能量可以被該物質中的某個電子全部吸收。電子吸收光子的能量後,動能立刻增加;如果動能增大到足以克服原子核對它的引力,就能在十億分之一秒時間內飛逸出金屬表面,成為光電子,形成光電流。單位時間內,入射光子的數量愈大,飛逸出的光電子就愈多,光電流也就愈強,這種由光能變成電能自動放電的現象,就叫光電效應。
赫茲於1887年發現光電效應,愛因斯坦第一個成功的解釋了光電效應(金屬表面在光輻照作用下發射電子的效應,發射出來的電子叫做光電子)。光波長小於某一臨界值時方能發射電子,即極限波長,對應的光的頻率叫做極限頻率。臨界值取決於金屬材料,而發射電子的能量取決於光的波長而與光強度無關,這一點無法用光的波動性解釋。還有一點與光的波動性相矛盾,即光電效應的瞬時性,按波動性理論,如果入射光較弱,照射的時間要長一些,金屬中的電子才能積累到足夠的能量,飛出金屬表面。可事實是,只要光的頻率高於金屬的極限頻率,光的亮度無論強弱,電子的產生都幾乎是瞬時的,不超過十的負九次方秒。正確的解釋是光必定是由與波長有關的嚴格規定的能量單位(即光子或光量子)所組成。
光電效應 光電效應里電子的射出方向不是完全定向的,只是大部分都垂直於金屬表面射出,與光照方向無關。光是電磁波,但是光是高頻震盪的正交電磁場,振幅很小,不會對電子射出方向產生影響。
光電效應說明了光具有粒子性。相對應的,光具有波動性最典型的例子就是光的干涉和衍射。
只要光的頻率超過某一極限頻率,受光照射的金屬表面立即就會逸出光電子,發生光電效應。當在金屬外面加一個閉合電路,加上正向電源,這些逸出的光電子全部到達陽極便形成所謂的光電流。在入射光一定時,增大光電管兩極的正向電壓,提高光電子的動能,光電流會隨之增大。但光電流不會無限增大,要受到光電子數量的約束,有一個最大值,這個值就是 飽和電流。所以,當入射光強度增大時,根據光子假設,入射光的強度(即單位時間內通過單位垂直面積的光能)決定於單位時間裡通過單位垂直面積的光子數,單位時間裡通過金屬表面的光子數也就增多,於是,光子與金屬中的電子碰撞次數也增多,因而單位時間裡從金屬表面逸出的光電子也增多,電流也隨之增大。
研究歷史
光電效應首先由德國物理學家海因里希·赫茲於1887年發現,對發展量子理論及提出波粒二象性的構想起到了根本性的作用。菲利普·萊納德用實驗發現了光電效應的重要規律。阿爾伯特·愛因斯坦則提出了正確的理論機制。
十九世紀
1839年,年僅十九歲的亞歷山大·貝克勒爾(Alexandre Becquerel),在協助父親研究將光波照射到電解池(electrolytic cell)所產生的效應時,發現了光生伏特效應。雖然這不是光學效應,但對於揭示物質的電性質與光波之間的密切關係有很大的作用。威勒畢·史密斯(Willoughby Smith)於1873年在進行與水下電纜相關的一項任務,測試硒圓柱高電阻性質時,發現其具有光電導性,即照射光束於硒圓柱會促使其電導增加。
海因里希·赫茲
1887年,德國物理學者海因里希·赫茲做實驗觀察到光電效應、電磁波的發射與接收。在赫茲的發射器里有一個火花間隙(spark gap),可以借著製造火花來生成與發射電磁波。在接收器里有一個線圈與一個火花間隙,每當線圈偵測到電磁波,火花間隙就會出現火花。由於火花不很明亮,為了更容易觀察到火花,他將整個接收器置入一個不透明的盒子內。他注意到最大火花長度因此減小。為了理清原因,他將盒子一部分一部分拆掉,發現位於接收器火花與發射器火花之間的不透明板造成了這禁止現象。假若改用玻璃來分隔,也會造成這禁止現象,而石英則不會。經過用石英稜鏡按照波長將光波分解,仔細分析每個波長的光波所表現出的禁止行為,他發現是紫外線造成了光電效應。赫茲將這些實驗結果發表於《物理年鑑》,他沒有對該效應做進一步的研究。
紫外線入射於火花間隙會幫助產生火花,這個發現立刻引起了物理學者們的好奇心,其中包括威廉·霍爾伐克士(Wilhelm Hallwachs)、奧古斯圖·里吉(Augusto Righi)、亞歷山大·史托勒托夫(Aleksandr Stoletov)等等。他們進行了一系列關於光波對於帶電物體所產生效應的研究調查,特別是紫外線。這些研究調查證實,剛剛清潔乾淨的鋅金屬表面,假若帶有負電荷,不論數量有多少,當被紫外線照射時,會快速地失去這負電荷;假若電中性的鋅金屬被紫外線照射,則會很快地變為帶有正電荷,而電子會逃逸到金屬周圍的氣體中,假若吹拂強風於金屬,則可以大幅度增加帶有的正電荷數量。
約翰·艾斯特(Johann elster)和漢斯·蓋特爾(Hans Geitel),首先發展出第一個實用的光電真空管,能夠用來量度輻照度。艾斯特和蓋特爾將其用於研究光波照射到帶電物體產生的效應,獲得了巨大成果。他們將各種金屬依光電效應放電能力從大到小順序排列:銣、鉀、鈉鉀合金、鈉、鋰、鎂、鉈、鋅。對於銅、鉑、鉛、鐵、鎘、碳、汞,普通光波造成的光電效應很小,無法測量到任何效應。上述金屬排列順序與亞歷山德羅·伏打的電化學排列相同,越具正電性的金屬給出的光電效應越大。
湯姆孫量度粒子荷質比的光電效應實驗裝置。
當時研究“赫茲效應”的各種實驗還伴隨著“光電疲勞”的現象,讓研究變得更加複雜。光電疲勞指的是從乾淨金屬表面觀察到的光電效應逐漸衰微的現象。根據霍爾伐克士的研究結果,在這現象里,臭氧扮演了很重要的角色。可是,其它因素,例如氧化、濕度、拋光模式等等,都必須納入考量。
1888至1891年間,史托勒托夫完成了很多關於光電效應的實驗與分析。他設計出一套實驗裝置,特別適合於定量分析光電效應。藉助此實驗裝置,他發現了輻照度與感應光電流的直接比例。另外,史托勒托夫和里吉還共同研究了光電流與氣壓之間的關係,他們發現氣壓越低,光電流變越大,直到最優氣壓為止;低於這最優氣壓,則氣壓越低,光電流變越小。
約瑟夫·湯姆孫於1897年4月30日在大不列顛皇家研究院(Royal Institution of Great Britain)的演講中表示,通過觀察在克魯克斯管里的陰極射線所造成的螢光輻照度,他發現陰極射線在空氣中透射的能力遠超一般原子尺寸的粒子。因此,他主張陰極射線是由帶負電荷的粒子組成,後來稱為電子。此後不久,通過觀察陰極射線因電場與磁場作用而產生的偏轉,他測得了陰極射線粒子的荷質比。1899年,他用紫外線照射鋅金屬,又測得發射粒子的荷質比為7.3×10emu/g,與先前實驗中測得的陰極射線粒子的數值7.8×10emu/g大致符合。他因此正確推斷這兩種粒子是同一種粒子,即電子。他還測出這粒子所載有的負電荷 。從這兩個數據,他成功計算出了電子的質量:大約是氫離子質量的千分之一。電子是當時所知質量最小的粒子。
二十世紀
匈牙利物理學家 菲利普·萊納德
菲利普·萊納德於1900年發現紫外線會促使氣體發生電離作用。由於這效應廣泛發生於好幾厘米寬區域的空氣,並且製造出很多大顆的正離子與小顆的負離子,這現象很自然地被詮釋為光電效應發生於在氣體中的固體粒子或液體粒子,湯姆孫就是如此詮釋這現象。1902年,萊納德又發布了幾個關於光電效應的重要實驗結果。第一,借著變化紫外光源與陰極之間的距離,他發現,從陰極發射的光電子數量每單位時間與入射的輻照度成正比。第二,使用不同的物質為陰極材料,可以顯示出,每一種物質所發射出的光電子都有其特定的最大動能(最大速度),換句話說,光電子的最大動能於光波的光譜組成有關。第三,借著調整陰極與陽極之間的電壓差,他觀察到,光電子的最大動能與截止電壓成正比,與輻照度無關。
由於光電子的最大速度與輻照度無關,萊納德認為,光波並沒有給予這些電子任何能量,這些電子本來就已擁有這能量,光波扮演的角色好似觸發器,一觸即發地選擇與釋出束縛於原子裡的電子,這就是萊納德著名的“觸發假說”(triggering hypothesis)。在那時期,學術界廣泛接受觸發假說為光電效應的機制。可是,這假說遭遇到一些嚴峻問題,例如,假若電子本來在原子裡就已擁有了逃逸束縛與發射之後的動能,那么,將陰極加熱應該會給予更大的動能,但是物理學者做實驗並沒有測量到任何不同結果。
英姿煥發的愛因斯坦在1905年(愛因斯坦奇蹟年)發表了六篇劃時代的論文。
1905年,愛因斯坦發表論文《關於光的產生和轉化的一個試探性觀點》,對於光電效應給出另外一種解釋。他將光束描述為一群離散的量子,現稱為光子,而不是連續性波動。對於馬克斯·普朗克先前在研究黑體輻射中所發現的普朗克關係式,愛因斯坦給出另一種詮釋:頻率為 的光子擁有的能量為 ;其中, 因子是普朗克常數。愛因斯坦認為,組成光束的每一個量子所擁有的能量等於頻率乘以普朗克常數。假若光子的頻率大於某極限頻率,則這光子擁有足夠能量來使得一個電子逃逸,造成光電效應。愛因斯坦的論述解釋了為什麼光電子的能量只與頻率有關,而與輻照度無關。雖然光束的輻照度很微弱,只要頻率足夠高,必會產生一些高能量光子來促使束縛電子逃逸。儘管光束的輻照度很強勁,假若頻率低於極限頻率,則仍舊無法給出任何高能量光子來促使束縛電子逃逸。
愛因斯坦的論述極具想像力與說服力,但卻遭遇到學術界強烈的抗拒,這是因為它與詹姆斯·麥克斯韋所表述,而且經過嚴格理論檢驗、通過精密實驗證明的光的波動理論相互矛盾,它無法解釋光波的折射性與相干性,更一般而言,它與物理系統的能量“無窮可分性假說”相互矛盾。甚至在實驗證實愛因斯坦的光電效應方程正確無誤之後,強烈抗拒仍舊延續多年。愛因斯坦的發現開啟了的量子物理的大門,愛因斯坦因為“對理論物理學的成就,特別是光電效應定律的發現”榮獲1921年諾貝爾物理學獎。
圖為密立根做光電效應實驗得到的最大能量與頻率關係線。豎軸是能夠阻止最大能量光電子抵達陽極的截止電壓,P是逸出功,PD是電勢差(potential difference)。
愛因斯坦的論文很快地引起美國物理學者羅伯特·密立根的注意,但他也不贊同愛因斯坦的理論。之後十年,他花費很多時間做實驗研究光電效應。他發現,增加陰極的溫度,光電子最大能量不會跟著增加。他又證實光電疲勞現象是因氧化作用所產生的雜質造成,假若能夠將清潔乾淨的陰極保存於高真空內,就不會出現這種現象了。1916年,他證實了愛因斯坦的理論正確無誤,並且套用光電效應直接計算出普朗克常數。密立根因為“關於基本電荷以及光電效應的工作”獲頒1923年諾貝爾物理學獎。
根據波粒二象性,光電效應也可以用波動概念來分析,完全不需用到光子概念。威利斯·蘭姆與馬蘭·斯考立(Marlan Scully)於1969年證明這理論。
數學推導
光束里的光子所擁有的能量與光的頻率成正比。假若金屬里的自由電子吸收了一個光子的能量,而這能量大於或等於某個與金屬相關的能量閾(閥)值(稱為這種金屬的逸出功),則此電子因為擁有了足夠的能量,會從金屬中逃逸出來,成為光電子;若能量不足,則電子會釋出能量,能量重新成為光子離開,電子能量恢復到吸收之前,無法逃逸離開金屬。增加光束的輻照度會增加光束里光子的“密度”,在同一段時間內激發更多的電子,但不會使得每一個受激發的電子因吸收更多的光子而獲得更多的能量。換言之,光電子的能量與輻照度無關,只與光子的能量、頻率有關。
被光束照射到的電子會吸收光子的能量,但是其中機制遵照的是一種非全有即全無的判據,光子所有能量都必須被吸收,用來克服逸出功,否則這能量會被釋出。假若電子所吸收的能量能夠克服逸出功,並且還有剩餘能量,則這剩餘能量會成為電子在被發射後的動能。
逸出功 W 是從金屬表面發射出一個光電子所需要的最小能量。如果轉換到頻率的角度來看,光子的頻率必須大於金屬特徵的極限頻率,才能給予電子足夠的能量克服逸出功。逸出功與極限頻率v0之間的關係為
W=h*v0
其中,h是普朗克常數, W是光頻率為v0的光子的能量。
克服逸出功之後,光電子的最大動能 Kmax 為
Kmax=hv-W=h(v-v0)
其中,hv 是光頻率為 v的光子所帶有並且被電子吸收的能量。
實際物理要求動能必須是正值,因此,光頻率必須大於或等於極限頻率,光電效應才能發生。
光電效應原文
關於光的產生和轉化的一個啟發性觀點
愛因斯坦
1905年3月
在物理學家關於氣體或其他有重物體所形成的理論觀念同麥克斯韋關於所謂空虛空間中的電磁過程的理論之間,有著深刻的形式上的分歧。這就是,我們認為一個物體的狀態是由數目很大但還是有限個數的原子和電子的坐標和速度來完全確定的;與此相反,為了確定一個空間的電磁狀態,我們就需要用連續的空間函式,因此,為了完全確定一個空間的電磁狀態,就不能認為有限個數的物理量就足夠了。按照麥克斯韋的理論,對於一切純電磁現象因而也對於光來說,應當把能量看作是連續的空間函式,而按照物理學家的看法,一個有重客體的能量,則應當用其中原子和電子所帶能量的總和來表示。一個有重物體的能量不可能分成任意多個、任意小的部分,而按照光的麥克斯韋理論(或者更一般地說,按照任何波動理論),從一個點光源發射出來的光束的能量,則是在一個不斷增大的體積中連續地分布的。
用連續空間函式來運算的光的波動理論,在描述純悴的光學現象時,已被證明是十分卓越的,似乎很難用任何別的理論來替換。可是,不應當忘記,光學觀測都同時間平均值有關,而不是同瞬時值有關,而且儘管衍射、反射、折射、色散等等理論完全為實驗所證實,但仍可以構想,當人們把用連續空間函式進行運算的光的理論套用到光的產生和轉化的現象上去時,這個理論會導致和經驗相矛盾。
確實在我看來,關於黑體輻射,光致發光、紫外光產生陰極射線,以及其他一些有關光的產生和轉化的現象的觀察,如果用光的能量在空間中不是連續分布的這種假說來解釋.似乎就更好理解。按照這裡所構想的假設,從點光源發射出來的光束的能量在傳播中不是連續分布在越來越大的空間之中,而是由個數有限的、局限在空間各點的能量子所組成,這些能量子能夠運動,但不能再分割,而只能整個地被吸收或產生出來。
下面我將敘述一下我的思考過程,並且援引一些引導我走上這條道路的事實,我希望這裡所要說明的觀點對一些研究工作者在他們的研究中或許會顯得有用。
§ 1 關於“黑體輻射”理論的一個困難
讓我們首先仍採用麥克斯韋理論和電子論的觀點來考察下述情況。設在一個由完全反射壁圍住的空間中,有一定數目的氣體分子和電子,它們能夠自由地運動,而且當它們彼此很靠近時,相互施以保守力的作用,也就是說,它們能夠象氣體[分子]運動理論中的氣體分子那樣相互碰撞。此外,還假設有一定數目的電子被某些力束縛在這空間中一些相距很遠的點上,力的方向指向這些點,其大小同電子與各點的距離成正比。當自由的[氣體]分子和電子很靠近這些[束縛]電子時,這些電子同自由的分子和電子之間也應當發生保守[力]的相互作用。我們稱這些束縛在空間點上的電子為“振子”;它們發射一定周期的電磁波,也吸收同樣周期的電磁波。
根據有關光的產生的現代觀點,在我們所考察的空間中,按照麥克斯韋理論處於動態平衡情況下的輻射,應當與“黑體輻射”完全等同——至少當我們把一切具有應加以考慮的頻率的振子都看作存在時是這樣。
光電效應 我們暫且不考慮振子發射和吸收的輻射,而深入探討同分子和電子的相互作用(或碰憧)相適應的動態平衡的條件問題。氣體[分子]運動理論為動態平衡提出的條件是:一個電子振子的平均動能必須等於一個氣體分子平移運動的平均動能。如果我們把電子振子的運動分解為三個相互垂直的[分]振動,那么我們求得這樣一個線性[分]振動的能量的平均值 為
光電效應
光電效應
光電效應
光電效應
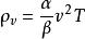
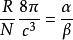
光電效應 這裡R是絕對氣體常數,N是克當量的“實際分子”數,而T是絕對溫度。由於振子的動能和勢能對於時間的平均值相等,所以能量 等於自由單原子氣體分子的動能的 。如果在21世紀不論由於哪一種原因——在我們的情況下由於輻射過程——使一個振子的能量具有大於或小於 的時間平均值,那末,它同自由電子和分子的碰撞將導致氣體得到或喪失平均不等於零的能量。因此,在我們所考察的情況中,只有當每一個振子都具有平均能量 時,動態平衡才有可能。
我們進一步對振子同空間中存在的輻射之間的相互作用作類似的考慮。普朗克(Planck)先生曾假定輻射可以看作是一種所能想像得到的最無序的過程,在這種假定下,他推導出了這種情況下動態平衡的條件。他找到:
光電效應
光電效應
光電效應
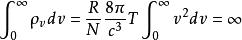
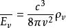
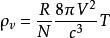
光電效應 這裡 是本徵頻率為ν的一個振子(每一個振動分量)的平均能量,c是光速,ν是頻率,而 是頻率介於ν和 之間的那部分輻射在每個單位體積中的能量。
頻率為ν的輻射,如果其能量總的說來既不是持續增加,又不是持續減少,那么,下式
光電效應
光電效應 必定成立。
作為動態平衡的條件而找到的這個關係,不但不符合經驗,而且它還表明,在我們的圖象中,根本不可能談到以太和物質之間有什麼確定的能量分布。因為振子的振動數範圍選得愈廣,空間中輻射能就會變得愈大,而在極限情況下我們得到:
光電效應 § 2 .關於普朗克對基本常數的確定
下面我們要指出普朗克先生所作出的對基本常數的確定,這在一定程度上是同他所創立的黑體輻射理論不相關的。
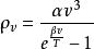
光電效應 迄今為止,所有經驗都能滿足的關於 的普朗克公式是:
光電效應 其中,
光電效應
光電效應
光電效應 對於大的 值,即對於大的波長和輻射密度,這個公式在極限情況下變成下面的形式:
光電效應 人們看到,這個公式是同§l 中用麥克斯韋理論和電子論所求得的公式相符的。通過使這兩個公式的係數相等,我們得到:
光電效應
光電效應 或者
光電效應
光電效應 這就是說,一個氫原子重 克 克。這正好是普朗克先生所求得的數值,它同用其他方法求得的關於這個量的數值令人滿意地相符合。
我們因此得出結論:輻射的能量密度和波長愈大,我們所用的理論基礎就愈顯得適用;但是,對於小的波長的小的輻射密度,我們的理論基礎就完全不適用了。
方程
在以愛因斯坦方式量化分析光電效應時使用以下方程:光子能量 = 移出一個電子所需的能量 + 被發射的電子的動能代數形式:其中 h是普朗克常數, ν是入射光子的頻率,是功函式,從原子鍵結中移出一個電子所需的最小能量,是被射出的電子的最大動能, ν0是光電效應發生的閾值頻率, m是被發射電子的靜止質量, vm是被發射電子的速度, 註:如果光子的能量( hν)不大於功函式(ϕ),就不會有電子射出。功函式有時又以 W標記。這個方程與觀察不符時(即沒有射出電子或電子動能小於預期),可能是因為某些能量以熱能或輻射的形式散失了。
效應
(一)反常光生伏特效應:
光生伏特效應
一般光生電壓不會超過Vg=Eg/e,但某些薄膜型半導體被強白光照射會出現比Vg高的多的光生電壓,稱反常光生伏特效應。(已觀察到5000V的光生電壓)
70年代又發現光鐵電體的反常光生伏特效應(APV)可產生1000V到100000V的電壓,且只出現在晶體自發極化方向上,
光生電壓:V=(Jc/(σD+△σl))l
(二)貝克勒爾效應:
將兩個同樣的電極浸在電解液中,其中一個被光照射,則在兩電極間產生電位差,稱為貝克勒爾效應。
(有可能模仿光合作用製成高效率的太陽能電池)
(三)光子牽引效應:
當一束光子能量不足以引起電子-空穴產生的雷射照射在樣本上,可在光束方向上於樣本兩端建立電勢差VL,其大小與光功率成正比,稱為光子牽引效應。
(四)俄歇效應(1925年法國人俄歇)
用高能光子或電子從原子內層打出電子,同時產生確定能量的電子(俄歇電子),使原子、分子稱為高階離子的現象稱為俄歇效應。
套用:俄歇電子能譜儀用於表面分析,可辨別不同分子的“指紋”。
光電效應
(五)光電流效應(1927年潘寧)
放電管兩級間有光致電壓(電流)變化稱為光電流效應。
(1):低壓氣體可以放電(約100Pa的惰性氣體)
(2):空間電荷效應與輝光放電:
放電管中由陰極到陽極存在7個不同的區域:
1:阿斯頓暗區:靠近陰極很薄的一層暗區。原因:從陰極由正離子轟擊出的二次電子動能很小,不足以激發原子發光。
2:陰極輝區:繼阿斯頓暗區後很薄的發光層。
3:陰極暗區:電子從陰極達到該區,獲能量越來越大,超過原子電離能,引起大量碰撞電離,雪崩電離過程集中發生在這裡。產生電離後電子很快離開,這裡形成了很強的正空間電荷,引起電場分布畸變,管壓大部分降在此處和陰極間
以上三區為陰極位降區。
4:負輝區:是發光最強的區域。電子在負輝區產生許多激發碰撞發出明亮的輝光。
5:法拉第暗區:電子在負輝區損失能量,進入此區無足夠的能量產生激發。
6:正柱區:在此區電子密度與正離子密度相等,淨空間電荷為零,因此又稱等離子區。
7:陽極區:可看到陽極暗區和陽極輝區。套用:氣體放電器件,如氣體放電燈(螢光燈、霓虹燈、原子光譜燈、氖泡)、穩壓管、冷陰極閘流管等。雷射器中用正柱區實現粒子束反轉,粒子束裝置中冷陰極離子源,半導體工藝中電漿刻蝕,薄膜濺射沉積,電漿化學沉積等。
光電流效應機理:亞穩態(壽命約10^(-4)s到10^(-2)s)原子較中性原子易於電離,多產生一些激發原子,尤其是亞穩態原子,可能改變放電管中載流子濃度。
光電流光譜技術套用:光電流光譜無需常規光譜儀的光學系統,從紫外、可見、紅外到微波都可產生光電流效應。光電流光譜有8個數量級的動態範圍,靈敏度高、噪聲小,是一種超靈敏的光譜技術。(1976年格林等用雷射證實光電流光譜)
焦希效應:當用可見光連續輻照以空氣或絕緣氣體為介質的氣體電容器時,流經電容器的低頻電流將發生變化,稱為焦希效應。
馬爾特效應:當放電管陰極表面有金屬氧化膜,正離子轟擊表面時,二次電子發射作用增強,稱為馬爾特效應。
實驗驗證
1887年,赫茲在做證實麥克斯韋的電磁理論的火花放電實驗時,偶然發現了光電效應。赫茲用兩套放電電極做實驗,一套產生振盪,發出電磁波;另一套作為接收器。他意外發現,如果接收電磁波的電極受到紫外線的照射,火花放電就變得容易產生。赫茲的論文《紫外線對放電的影響》發表後,引起物理學界廣泛的注意,許多物理學家進行了進一步的實驗研究。
1888年,德國物理學家霍爾瓦克斯(Wilhelm Hallwachs)證實,這是由於在放電間隙內出現了荷電體的緣故。
光電效應 1899年,J.J.湯姆孫用巧妙的方法測得產生的光電流的荷質比,獲得的值與陰極射線粒子的荷質比相近,這就說明產生的光電流和陰極射線一樣是電子流。這樣,物理學家就認識到,這一現象的實質是由於光(特別是紫外光)照射到金屬表面使金屬內部的自由電子獲得更大的動能,因而從金屬表面逃逸出來的一種現象。1899—1902年,勒納德(P.Lenard,1862—1947)對光電效應進行了系統的研究,並首先將這一現象稱為“光電效應”。為了研究光電子從金屬表面逸出時所具有的能量,勒納德在電極間加一可調節反向電壓,直到使光電流截止,從反向電壓的截止值,可以推算電子逸出金屬表面時的最大速度。他選用不同的金屬材料,用不同的光源照射,對反向電壓的截止值進行了研究,並總結出了光電效應的一些實驗規律。根據動能定理:qU=mv^2/2,可計算出發射出電子的能量。可得出:hf=(1/2)mv^2+I+W
深入的實驗發現的規律與經典理論存在諸多矛盾,但許多物理學家還是想在經典電磁理論的框架內解釋光電效應的實驗規律。有一些物理學家試圖把光電效應解釋為一種共振現象。勒納德在1902年提出觸發假說,假設在電子的發射過程中,光只起觸發作用,電子原本就是以某一速度在原子內部運動,光照射到原子上,只要光的頻率與電子本身的振動頻率一致,就發生共振,電子就以其自身的速度從原子內部逸出。勒納德認為,原子裡電子的振動頻率是特定的,只有頻率合適的光才能起觸發作用。勒納德的假說在當時很有影響,被一些物理學家接受。但是,不久,勒納德的觸發假說被他自己的實驗否定。
愛因斯坦用光量子理論對光電效應提出理論解釋後,最初科學界的反應是冷淡的,甚至相信量子概念的一些物理學家也不接受光量子假說。儘管理論與已有的實驗事實並不矛盾,但當時還沒有充分的實驗來支持愛因斯坦光電效應方程給出的定量關係。直到1916年,光電效應的定量實驗研究才由美國物理學家密立根完成。
密立根對光電效應進行了長期的研究,經過十年之久的試驗、改進和學習,有效地排除了表面接觸電位差等因素的影響,獲得了比較好的單色光。他的實驗非常出色,於1914年第一次用實驗驗證了愛因斯坦方程是精確成立的,並首次對普朗克常數h作了直接的光電測量,精確度大約是0.5%(在實驗誤差範圍內)。1916年密立根發表了他的精確實驗結果,他用6種不同頻率的單色光測量反向電壓的截止值與頻率關係曲線關係,這是一條很好的直線,從直線的斜率可以求出的普朗克常數。結果與普朗克1900年從黑體輻射得到的數值符合得很好。
發現規律
通過大量的實驗總結出光電效應具有如下實驗規律:
1.每一種金屬在產生光電效應時都存在一極限頻率(或稱截止頻率),即照射光的頻率不能低於某一臨界值。相應的波長被稱做極限波長(或稱紅限波長)。當入射光的頻率低於極限頻率時,無論多強的光都無法使電子逸出。
2.光電效應中產生的光電子的速度與光的頻率有關,而與光強無關。
3.光電效應的瞬時性。實驗發現,即幾乎在照到金屬時立即產生光電流。回響時間不超過十的負九次方秒(1ns)。
光電效應 4.入射光的強度只影響光電流的強弱,即只影響在單位時間單位面積內逸出的光電子數目。在光顏色不變的情況下,入射光越強,飽和電流越大,即一定顏色的光,入射光越強,一定時間內發射的電子數目越多。
套用領域
製造光電倍增管
算式與觀察不符時(即沒有射出電子或電子動能小於預期),可能是因為系統沒有完全的效率,某些能量變成熱能或輻射而失去了。
光控制電器
光伏控制器 利用光電管制成的光控制電器,可以用於自動控制,如自動計數、自動報警、自動跟蹤等等,右上圖是光控繼電器的示意圖,它的工作原理是:當光照在光電管上時,光電管電路中產生電光流,經過放大器放大,使電磁鐵M磁化,而把銜鐵N吸住,當光電管上沒有光照時,光電管電路中沒有電流,電磁鐵M就自動控制,利用光電效應還可測量一些轉動物體的轉速。
光電倍增管
利用光電效應還可以製造多種光電器件,如光電倍增管、電視攝像管、光電管、電光度計等,這裡介紹一下光電倍增管。這種管子可以測量非常微弱的光。右下圖是光電倍增管的大致結構,它的管內除有一個陰極K和一個陽極A外,還有若干個倍增電極K1.K2.K3.K4.K5等。使用時不但要在陰極和陽極之間加上電壓,各倍增電極也要加上電壓,使陰極電勢最低,各個倍增電極的電勢依次升高,陽極電勢最高,這樣,相鄰兩個電極之間都有加速電場,當陰極受到光的照射時,就發射光電子,並在加速電場的作用下,以較大的動能撞擊到第一個倍增電極上,光電子能從這個倍增電極上激發出較多的電子,這些電子在電場的作用下,又撞擊到第二個倍增電極上,從而激發出更多的電子,這樣,激發出的電子數不斷增加,最後後陽極收集到的電子數將比最初從陰極發射的電子數增加了很多倍(一般為105~108倍)。因而,這種管子只要受到很微弱的光照,就能產生很大電流,它在工程、天文、軍事等方面都有重要的作用。
農業病蟲害防治
農業蟲害的治理需要依據為害昆蟲的特性提出與環境適宜、生態兼容的技術體系和關鍵技術。為害昆蟲表現了對敏感光源具有個體差異性和群體一貫性的趨光性行為特徵,並通過視覺神經信號回響和生理光子能量需求的方式呈現出生物光電效應的作用本質。利用昆蟲的這種趨性行為誘導增益特性,一些光電誘導殺蟲燈技術以及害蟲誘導捕集技術廣泛地套用於農業蟲害的防治,具有良好的套用前景。
定律影響
光電效應現象是赫茲在做證實麥克斯韋的電磁理論的火花放電實驗時偶然發現的,而這一現象卻成了突破麥克斯韋電磁理論的一個重要證據。
愛因斯坦 愛因斯坦在研究光電效應時給出的光量子解釋不僅推廣了普朗克的量子理論,證明波粒二象性不只是能量才具有,光輻射本身也是量子化的,同時為唯物辯證法的對立統一規律提供了自然科學證據,具有不可估量的哲學意義。這一理論還為波爾的原子理論和德布羅意物質波理論奠定了基礎。密立根的定量實驗研究不僅從實驗角度為光量子理論進行了證明,同時也為波爾原子理論提供了證據。
1921年,愛因斯坦因建立光量子理論並成功解釋了光電效應而獲得諾貝爾物理學獎。
1922年,玻爾原子理論也因密立根證實了光量子理論而獲得了實驗支持,從而獲得了諾貝爾物理學獎。
1923年,密立根“因測量基本電荷和研究光電效應”獲諾貝爾物理學獎。
矛盾
光電效應 在光電效應中,要釋放光電子顯然需要有足夠的能量。根據經典電磁理論,光是電磁波,電磁波的能量決定於它的強度,即只與電磁波的振幅有關,而與電磁波的頻率無關。而實驗規律中的第一、第二兩點顯然用經典理論無法解釋。第三條也不能解釋,因為根據經典理論,對很弱的光要想使電子獲得足夠的能量逸出,必須有一個能量積累的過程而不可能瞬時產生光電子。
光電效應里,電子的射出方向不是完全定向的,只是大部分都垂直於金屬表面射出,與光照方向無關,光是電磁波,但是光是高頻震盪的正交電磁場,振幅很小,不會對電子射出方向產生影響。
所有這些實際上已經曝露出了經典理論的缺陷,要想解釋光電效應必須突破經典理論。
分類
光電效應分為:外光電效應和內光電效應。
內光電效應是被光激發所產生的載流子(自由電子或空穴)仍在物質內部運動,使物質的電導率發生變化或產生光生伏特的現象。
外光電效應是被光激發產生的電子逸出物質表面,形成真空中的電子的現象。
外光電效應
在光的作用下,物體內的電子逸出物體表面向外發射的現象叫做外光電效應。
外光電效應的一些實驗規律
a.僅當照射物體的光頻率不小於某個確定值時,物體才能發出光電子,這個頻率叫做極限頻率(或叫做截止頻率),相應的波長λ0叫做極限波長。不同物質的極限頻率和相應的極限波長λ0 是不同的。
一些金屬的極限波長(單位:埃):
| 銫 | 鈉 | 鋅 | 銀 | 鉑 |
| 6520 | 5400 | 3720 | 2600 | 1960 |
b.光電子脫出物體時的初速度和照射光的頻率有關而和發光強度無關。這就是說,光電子的初動能只和照射光的頻率有關而和發光強度無關。
c.在光的頻率不變的情況下,入射光越強,相同的時間內陰極(發射光電子的金屬材料)發射的光電子數目越多
光電效應 d.從實驗知道,產生光電流的過程非常快,一般不超過10的-9次方秒;停止用光照射,光電流也就立即停止。這表明,光電效應是瞬時的。
e.愛因斯坦方程:hν=(1/2)mv^2+I+W
式中(1/2)mv^2是脫出物體的光電子的初動能。金屬內部有大量的自由電子,這是金屬的特徵,因而對於金屬來說,I項可以略去,愛因斯坦方程成為 hυ=(1/2)mv^2+W 假如hυ
註:如果光子的能量(hf)不大於功函式(φ),就不會有電子射出。功函式有時又以W標記。這個算式與觀察不符時(即沒有射出電子或電子動能小於預期)。愛因斯坦因成功解釋了光電效應而獲得1921年諾貝爾物理學獎。
基於外光電效應的電子元件有光電管、光電倍增管。光電倍增管能將一次次閃光轉換成一個個放大了的電脈衝,然後送到電子線路去,記錄下來。
內光電效應
當光照在物體上,使物體的電導率發生變化,或產生光生電動勢的現象。分為光電導效應和光生伏特效應(光伏效應)。
1 光電導效應
在光線作用下,電子吸收光子能量從鍵合狀態過度到自由狀態,而引起材料電導率的變化。
當光照射到光電導體上時,若這個光電導體為本徵半導體材料,且光輻射能量又足夠強,光電材料價帶上的電子將被激發到導帶上去,使光導體的電導率變大。
基於這種效應的光電器件有光敏電阻。
2 光生伏特效應
“光生伏特效應”,簡稱“光伏效應”。指光照使不均勻半導體或半導體與金屬結合的不同部位之間產生電位差的現象。它首先是由光子(光波)轉化為電子、光能量轉化為電能量的過程;其次,是形成電壓過程。有了電壓,就像築高了大壩,如果兩者之間連通,就會形成電流的迴路。
光伏發電,其基本原理就是“光伏效應”。太陽能專家的任務就是要完成製造電壓的工作。因為要製造電壓,所以完成光電轉化的太陽能電池是陽光發電的關鍵。
簡單來說就是在光作用下能使物體產生一定方向電動勢的現象。基於該效應的器件有光電池和光敏二極體、三極體。
①勢壘效應(結光電效應)
光照射PN結時,若hf≧Eg,使價帶中的電子躍遷到導帶,而產生電子空穴對,在阻擋層內電場的作用下,電子偏向N區外側,空穴偏向P區外側,使P區帶正電,N區帶負電,形成光生電動勢。
②側向光電效應(丹培效應)
當半導體光電器件受光照不均勻時,光照部分產生電子空穴對,載流子濃度比未受光照部分的大,出現了載流子濃度梯度,引起載流子擴散,如果電子比空穴擴散得快,導致光照部分帶正電,未照部分帶負電,從而產生電動勢,即為側向光電效應。
③光電磁效應
半導體受強光照射並在光照垂直方向外加磁場時,垂直於光和磁場的半導體兩端面之間產生電勢的現象稱為光電磁效應,可視之為光擴散電流的霍爾效應。
④貝克勒耳效應
是指液體中的光生伏特效應。當光照射浸在電解液中的兩個同樣電極中的一個電極時,在兩個電極間產生電勢的現象稱為貝克勒耳效應。感光電池的工作原理基於此效應。
光電效應 ⑤紫外線光電效應
當紫外線照射到某些金屬的表面時,金屬內部的自由電子逸出金屬表面,這種紫外線的光致電子發射構成了紫外線光電效應的內容之一。早在1887年德國物理學家 (1857~1894)在研究紫外線輻射時,首先發現光電發射現象。在1888年光電發射有被俄國物理學家斯托列托夫(1839~1896)用實驗證明了這一現象。
3 光子牽引效應
當光子與半導體中的自由載流子作用時,光子把動量傳遞給自由載流子,自由載流子將順著光線的傳播方向做相對於晶格的運動。結果,在開路的情況下,半導體樣品將產生電場,它阻止載流子的運動。這個現象被稱為光子牽引效應。
量子解釋
1905年,愛因斯坦把普朗克的量子化概念進一步推廣。他指出:不僅黑體和輻射場的能量交換是量子化的,而且輻射場本身就是由不連續的光量子組成,每一個光量子的能量與輻射場頻率之間滿足ε=hν,即它的能量只與光量子的頻率有關,而與強度(振幅)無關。
愛因斯坦光電效應方程
根據愛因斯坦的光量子理論,射向金屬表面的光,實質上就是具有能量ε=hν的光子流。如果照射光的頻率過低,即光子流中每個光子能量較小,當他照射到金屬表面時,電子吸收了這一光子,它所增加的ε=hν的能量仍然小於電子脫離金屬表面所需要的逸出功,電子就不能脫離開金屬表面,因而不能產生光電效應。如果照射光的頻率高到能使電子吸收後其能量足以克服逸出功而脫離金屬表面,就會產生光電效應。此時逸出電子的動能、光子能量和逸出功之間的關係可以表示成:光子能量- 移出一個電子所需的能量(逸出功)=被發射的電子的最大初動能。
即: Ε( max)=hv-W
這就是愛因斯坦光電效應方程。
其中, h是普朗克常數; v是入射光子的頻率
光電效應 功函式
Φ是功函式,指從原子鍵結中移出一個電子所需的最小能量,表達式如右圖,其中f0是光電效應發生的閥值頻率,即極限頻率;功函式有時又以W或A標記。
動能表達式
E(kmax)是逸出電子的最大動能,如右圖;m是被發射電子的靜止質量;vm是被發射電子逸出時的初速度。
註:這個算式與觀察不符時(即沒有射出電子或電子動能小於預期)。
實驗電路
根據愛因斯坦光量子理論,光電效應中光電子的能量決定於照射光的頻率,而與照射光的強度無關,故可以解釋實驗規律的第一、第二兩條。其中的極限頻率是指光量子的能量剛好滿足克服金屬逸出功的光量子頻率,而不同的金屬電子逸出所需要的能量不同,所以不同金屬的極限頻率不同。對第三條,由於當光量子的能量足夠,不管光強(只決定於光量子的數目)如何,電子在吸收了光量子後都可馬上逸出,故可立即產生光電效應,不需要積累過程。當光照射到金屬表面時,其強度越大表明光量子數越多,它被金屬中電子吸收的可能性越大,因此就可以解釋為什麼被打出的電子數隻與光的強度有關而與光的頻率無關。
神奇的“效應”
| 世間充滿著無窮的奧妙,誘惑著求知慾旺盛的人們去不斷探索揭秘,一些效應每天正在你的身邊悄然發生,也許是實驗室里的一次偶然發現,讓你驚嘆於它們的奇妙。通過本任務的科學介紹,各種各樣奇妙的效應從此不再神秘莫測。 |

