基本信息
償債率是指當年的還本付息額與當年出口創匯收入額之比,它是分析、衡量外債規模和一個國家償債能力大小的重要指標。國際上一般認為,一般國家的償債率的警戒線為20%,開發中國家為25%,危險線為30%。當償債率超過25%時,說明該國外債還本付息負擔過重,有可能發生債務危機。根據世界銀行的建議,中國的償債率應以15%為安全線。根據外匯局公布的數據,2004年末,我國償債率(還本付息額與外匯收入額之比)為3.19%,遠遠低於國際20%的警戒線。這說明中國目前的債務負擔比較適當,外債償還能力較強。
界定方法
償債率償債率含義的界定,目前理論上有不同的看法。第一種觀點稱為“需要量學說”,認為償債率是年本息償還額與年盈餘積累額的比率。第二種觀點稱為“償債儲備基金學說”,認為償債率是負債餘額與企業利潤總額的比率。第三種觀點認為:償債率是當年還本債務額與上年積存自有資金和當年盈餘積累之和的比率。
觀點一中,償債率應該反映企業當年實際應支付的債務額(含本金和利息)與企業當年可用來支付債務資金的比率。“年盈餘積累”是企業經過一定利潤分配之後的自有留存部分,它包括企業自身發展的積累和本年償還債務額兩部分,因而“年盈餘積累”只能表示本年創利可供支付債務的能力,不能說明企業本身所具有的實際支付能力。
觀點二中,“負債餘額”不一定是當年應該償還的債務額。“企業利潤總額”需要進行一系列分配(如上繳所得稅等)之後,才可用來支付債務。
觀點三中,“當年還本債務額”則只考慮了“本金”,而忽略了“利息”。所以,用“負債餘額”、“當年還本債務額”作為當年應支付的本息是不夠確切的。“上年積存自有資金+當年盈餘積累”忽略了利息。利息作為當期“費用而計入成本,已抵扣了利潤。作為支付債務本息能力之一的“盈餘積累”應加上這部分進行還原才是確切的。
因此,償債率的含義一般可界定為:償債率=當年債務還本付息額/(自有資金+當年盈餘積累+當年負債應記利息)當年債務還本付息額=當年債務還本額+當年負債利息=負債餘額/(n-m+1)+負債餘額×利息率
式中:n表示負債年限,m表示償債年數。
人們只在未考慮風險的情況下,對償債率的含義進行了分析。但在市場經濟中,企業的資產、負債、盈利都受市場的影響而存在風險,導致償債率也存在風險。影響償債率的風險因素可概括為:利息風險、匯率風險、物價風險、資金風險和信用風險等五個方面。風險因素用相對數綜合反映為償債風險率,其中利息風險率是指利率敏感性資產與利率敏感性負債的比率;匯率風險率,是指因匯率的變化,硬幣收匯總額與軟幣負債餘額的比例變化程度;物價風險率,是指因物價的變動,造成貨幣性資金總額與實物性商品總額的比例變化程度;資金風險率是用企業風險資金總額與企業經營資金總額的比率來表示的。它反映債權人資本遭受損失前,債務人能夠承擔資產價值的損失程度。信用風險率是指債務人不能按契約規定償還到期債務所造成的信譽破壞程度,可用信用期限風險比率和信用數量風險比率表示。
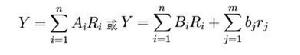
綜上所述,企業償債率可界定為綜合期望償債率。其計算公式為:
償債率式中: Y表示綜合期望償還率;Ai表示i種負債的期望償債率(其中,aj表示j種狀態下的償債率;pj表示j種狀態的機率);Bi表示i種負債無風險狀態下的償債率;Ri表示各種負債的比重;bj表示負債的償債風險率;rj表示各種負債的償債風險率的比率。
考核過程
運用償債率去分析考核企業的償債能力,應分三個層次進行:
第一層次是從總體和全局的角度去分析考核企業的償債能力。此層次應建立綜合期望償債率指標,從有風險和無風險兩方面綜合地考核分析。償債率高,說明企業償債能力弱,信譽差;償債率低,說明企業償債能力強,信譽高,仍有負債潛力可挖。但是,償債率低,雖可說明企業整個償債能力強,卻不能說明負債企業到期就一定能夠支付債務,企業期望償債率高,風險率高,也不一定就說明借債無益。因此,必須建立第二層次考核指標。
第二層次是從各個負債資金的用途及運用效果等方面,建立考核分析各負債資金本身的償債能力。這一層次可設定以下指標:
1、負債資金利潤率。它是指負債所創盈利與負債資金額的比率,反映整個負債資金的盈利效果。負債資金利潤率應與負債資金利息率(或負債成本率)相對應分析。只有當前者大於後者時,企業的負債本身才具有可靠的償還能力。
2、項目負債資金利潤率。它是指某一具體項目的負債所創盈利與該項目負債的比率。它與項目負債利息率(或成本率)相對應;只有當前者大於後者時,才表明項目負債本身具有償債能力。
3、外債創匯率。它與外債利息率(或成本率)相對應,外債創匯率大於外債利息率愈多,說明償付外債的能力愈強,若外債創匯率等於或略大於外債利息率,即使仍有人民幣的償還能力,也有可能陷於外債危機中。各負債經營本身的償債能力強,固然可以說明負債經營效果好,但由於商業信用等原因,應收賬項未收回,造成賬面上是盈利,實際上或許並無支付能力,從而造成償債能力的有名無實。因而還需要建立第三層次的考核指標。
第三層次是從企業償債付現的角度去考核分析企業實際償債支付能力。主要用付現償債率來分析考核。付現償債率是指當年還本付息額與積存貨幣資金總額的比率。其中積存貨幣資金總額是指當年可用來支付債務本息的貨幣資金,包括歷年積存自有資金、當年盈餘積累等。上述三個層次的指標,可以用下圖概括:
償債率一般而言,債權者通常考慮的是第一、二層次的償債能力。認為只要企業綜合期望償債能力強且各項負債償還能力亦強,企業的負債經營就是成功的,企業的潛力會很大,而忽略了第三層次的分析考核。實際生活中,理智的債權人通常將當期償債付現率作為參考。
在衡量償債能力中的作用
根據償債率的一般標準,可以計算出一國在現有外匯收入的條件下借入外債的適度規模,或者在現有外債的基礎上所要求的出口收匯規模。還要根據借款國的外匯儲備、國內生產等綜合考察。但是,在衡量償債能力時,當年償債率並不是唯一的依據。由於借款國各筆債務的期限、利率等條件不同,實際還本付息額各年不同,有的國家各年度的償債率變化很大,當年償債率並不是唯一的依據。衡量償債能力時要考慮到這些因素。
衡量一國償債能力,還要根據借款國的外匯儲備、國際收支、國內生產等綜合考察。或者在現有外債的基礎上所要求的出口收匯規模。尤其是外匯儲備,對於債務國來說,應該保持適度的外匯儲備,如果外匯儲備低於一定的程度,即使沒有過多的債務也會出現清償困難。有的國家還用其他比例作為債務監測的指標,如未清償債務餘額和商品勞務出口金額的比例、按人口計算的平均債務、未清償債務餘額占國民生產總值的比例等。與其他債務監測指標相比,一般來說,償債率的優點是能反映出優惠債務在債務餘額中所占的比重,償債率是一個臨界線,因為優惠債務導致較小的償債額;但缺點是不能反映因債務重新安排或拖延還本付息所尚未支付的償債額。
正文
一國當年外債還本付息額與商品勞務出口額的比率。是衡量一國償還債務能力的一個重要指標。國際通行的償債率計算公式為:
各國的經驗表明,償債率是一個臨界線,一般來說,超過20~25%的償債率,是還債能力有問題的信號。如果超過償債率繼續借入外債,就有可能出現到期不能償還的現象,以致影響借款國的國家信譽。
根據償債率的一般標準,可以計算出一國在現有外匯收入的條件下借入外債的適度規模,或者在現有外債的基礎上所要求的出口收匯規模。但是,在衡量償債能力時,當年償債率並不是唯一的依據。由於借款國各筆債務的期限、利率等條件不同,實際還本付息額各年不同,有的國家各年度的償債率變化很大,衡量償債能力時要考慮到這些因素。
衡量一國償債能力,還要根據借款國的外匯儲備、國際收支、國內生產等綜合考察。尤其是外匯儲備,對於債務國來說,應該保持適度的外匯儲備,如果外匯儲備低於一定的程度,即使沒有過多的債務也會出現清償困難。有的國家還用其他比例作為債務監測的指標,如未清償債務餘額和商品勞務出口金額的比例、按人口計算的平均債務、未清償債務餘額占國民生產總值的比例等。與其他債務監測指標相比,償債率的優點是能反映出優惠債務在債務餘額中所占的比重,因為優惠債務導致較小的償債額;但缺點是不能反映因債務重新安排或拖延還本付息所尚未支付的償債額。

