歷史
信息量1928年,R.V.L.哈特萊提出了信息定量化的初步構想,他將符號取值數m的對數定義為信息量,即I=logm。對信息量作深入、系統研究的是資訊理論創始人C.E.仙農。1948年,仙農指出信源給出的符號是隨機的,信源的信息量應是機率的函式,以信源的信息熵表示,即 ,其中P表示信源不同種類符號的機率,i= 1,2,…,n。
信息量例如,若一個連續信源被等機率量化為4層,即4 種符號。這個信源每個符號所給出的信息最應為 ,與哈特萊公式I=logm=log4=2bit一致。實質上哈特萊公式是等機率時仙農公式的特例。
圖1基本內容 實際信源多為有記憶序列信源,只有在掌握全部序列的機率特性後,才能計算出該信源中平均一個符號的熵H(U)(L為符號數這通常是困難的。如果序列信源簡化為簡單的一階、齊次、遍歷馬氏鏈,則比較簡單。根據符號的條件機率P(即前一符號為i條件下後一符號為j的機率),可以求出遍歷信源的穩定機率P,再由P和P求出H(U)。即如圖1 。
其中H(U|V)稱為條件熵,即前一符號V已知時後一符號U的不確定度。
信息量與信息熵在概念上是有區別的。在收到符號之前是不能肯定信源到底傳送什麼符號,通信的目的就是使接收者在收到符號後,解除對信源存在的疑義(不確定度),使不確定度變為零。這說明接收者從傳送者的信源中獲得的信息量是一個相對的量(H(U)-0)。而信息熵是描述信源本身統計特性的物理量,它表示信源產生符號的平均不確定度,不管有無接收者,它總是客觀存在的量。
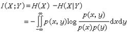
從信源中一個符號V中獲取另一符號u的信息
量可用互信息表示,即
I(U;V)= H(U)-H(U|V)
表示在收到V以後仍然存在對信源符號U的疑義(不確定度)。一般情況下
I(U;V)≤H(U)
即獲得的信息量比信源給出的信息熵要小。
連續信源可有無限個取值,輸出信息量是無限大,但互信息是兩個熵值之差,是相對量。這樣,不論連續或離散信源,接收者獲取的信息量仍然保持信息的一切特性,且是有限值。
信息量的引入,使通信、信息以及相關學科得以建立在定量分析的基礎上,為各有關理論的確立與發展提供了保證 。
簡介
所謂信息量是指從N個相等可能事件中選出一個事件所需要的信息度量或含量,也就是在辯識N個事件中特定的一個事件的過程中所需要提問"是或否"的最少次數.
香農(C. E. Shannon)資訊理論套用機率來描述不確定性。信息是用不確定性的量度定義的.一個訊息的可能性愈小,其信息愈多;而訊息的可能性愈大,則其信息愈少.事件出現的機率小,不確定性越多,信息量就大,反之則少。
信息現代定義。[2006年,醫學信息(雜誌),鄧宇等].
信息是 物質、能量、信息及其 屬性的標示。逆維納信息定義
信息是 確定性的增加。逆香農信息定義
信息是 事物現象及其 屬性標識的集合。2002年
在數學上,所傳輸的訊息是其出現機率的單調下降函式。如從64個數中選定某一個數,提問:“是否大於32?”,則不論回答是與否,都消去了半數的可能事件,如此下去,只要問6次這類問題,就可以從64個數中選定一個數。我們可以用二進制的6個位來記錄這一過程,就可以得到這條信息。
信息多少的量度。1928年R.V.L.哈特萊首先提出信息定量化的初步構想,他將訊息數的對數定義為信息量。若信源有 m種訊息,且每個訊息是以相等可能產生的,則該信源的信息量可表示為 I=log m。但對信息量作深入而系統研究,還是從1948年C.E.香農的奠基性工作開始的。
信息的統計特徵描述是早在1948年香農把熱力學中熵的概念與熵增原理引入信息理論的結果。先行考察熵增原理。熱力學中的熵增原理是這樣表述的:存在一個態函式-熵,只有不可逆過程才能使孤立系統的熵增加,而可逆過程不會改變孤立系統的熵。從中可以看出:一、熵及熵增是系統行為;二、這個系統是孤立系統;三、熵是統計性狀態量,熵增是統計性過程量。討論信息的熵表述時,應充分注意這些特徵的存在。並且知道,給定系統中發生的信息傳播,是不可逆過程。
E.H.Weber在資訊理論中,認為信源輸出的訊息是隨機的。即在未收到訊息之前,是不能肯定信源到底傳送什麼樣的訊息。而通信的目的也就是要使接收者在接收到訊息後,儘可能多的解除接收者對信源所存在的疑義(不定度),因此這個被解除的不定度實際上就是在通信中所要傳送的信息量。因此,接收的信息量在無干擾時,在數值上就等於信源的信息熵,式中 P( xi)為信源取第 i個符號的機率。但在概念上,信息熵與信息量是有區別的。信息熵是描述信源本身統計特性的一個物理量。它是信源平均不定度,是信源統計特性的一個客觀表征量。不管是否有接收者它總是客觀存在的。信息量則往往是針對接收者而言的,所謂接收者獲得了信息,是指接收者收到訊息後解除了對信源的平均不定度,它具有相對性。對於信息量的說明須引入互信息的概念。
公式在資訊理論中,互信息的定義是: I( X; Y)= H( X)- H( X| Y),數式右邊後一項稱為條件熵,對離散訊息可表示,它表示已知 Y以後,對 X仍存在的不定度。因此,互信息 I( X; Y)是表示當收到 Y以後所獲得關於信源 X的信息量。與互信息相對應,常稱 H( X)為自信息。互信息具有三個基本性質。
①非負性: I( X; Y)≥0,僅當收到的訊息與傳送的訊息統計獨立時,互信息才為0。
公式②互信息不大於信源的熵: I( X; Y)≤ H( X),即接收者從信源中所獲得的信息必不大於信源本身的熵。僅當信道無噪聲時,兩者才相等。
③對稱性: I( X; Y)= I( Y; X),即 Y隱含 X和 X隱含 Y 的互信息是相等的。
對於連續信源的互信息,它仍表示兩個熵的差值,所以也可直接從離散情況加以推廣,並保持上述離散情況的一切特性,即 實際信源是單個訊息信源的組合,所以實際信源的互信息 I( X; Y)也可以直接從上述單個訊息的互信息 I( X; Y)加以推廣,即 I( X; Y)= H( X)- H( X│ Y)。配圖相關連線
計算方法
信息量資訊理論創始人C.E.Shannon,1938年首次使用比特(bit)概念:1(bit)= 。它相當於對二個可能結局所作的一次選擇量。資訊理論採用對隨機分布機率取對數的辦法,解決了不定度的度量問題。
m個對象集合中的第i個對象,按n個觀控指標測度的狀態集合的
信息量全信息量TI= 。
從試驗後的結局得知試驗前的不定度的減少,就是申農界定的信息量,即
信息量自由信息量FI=-∑pi ,(i=1,2,…,n)。
式中pi是與隨機變數xi對應的觀控權重,它趨近映射其實際狀態的分布機率。由其內在分布構成引起的在試驗前的不定度的減少,稱為先驗信息或謂約束信息量。風險是潛藏在隨機變數尚未變之前的內在結構能(即形成該種結構的諸多作用中還在繼續起作用的有效能量)中的。可以顯示、映射這種作用的是
約束信息量BI=TI-FI。
研究表明,m個觀控對象、按n個觀控指標進行規範化控制的比較收益優選序,與其自由信息量FI之優選序趨近一致;而且各觀控對象“愈自由,風險愈小”;約束信息量BI就是映射其風險的本徵性測度,即風險熵。
把信息描述為信息熵,是狀態量,其存在是絕對的;信息量是熵增,是過程量,是與信息傳播行為有關的量,其存在是相對的。在考慮到系統性、統計性的基礎上,認為:信息量是因具體信源和具體信宿範圍決定的,描述信息潛在可能流動價值的統計量。本說法符合熵增原理所要求的條件:
一、“具體信源和信宿範圍”構成孤立系統,信息量是系統行為而不僅僅是信源或信宿的單獨行為。
二、界定了信息量是統計量。此種表述還說明,信息量並不依賴具體的傳播行為而存在,是對“具體信源和具體信宿”的某信息潛在可能流動價值的評價,而不是針對已經實現了的信息流動的。由此,信息量實現了信息的度量 。
計算過程
如何計算信息量的多少?在日常生活中,極少發生的事件一旦發生是容易引起人們關注的,而司空見慣的事不會引起注意,也就是說,極少見的事件所帶來的信息量多。如果用統計學的術語來描述,就是出現機率小的事件信息量多。因此,事件出現得機率越小,信息量愈大。即信息量的多少是與事件發生頻繁(即機率大小)成反比。
⒈如已知事件Xi已發生,則表示Xi所含有或所提供的信息量
信息量H(Xi) = −
例題:若估計在一次西洋棋比賽中謝軍獲得冠軍的可能性為0.1(記為事件A),而在另一次西洋棋比賽中她得到冠軍的可能性為0.9(記為事件B)。試分別計算當你得知她獲得冠軍時,從這兩個事件中獲得的信息量各為多少?
信息量H(A)=- ≈3.32(比特)
信息量H(B)=- ≈0.152(比特)
⒉統計信息量的計算公式為:
Xi —— 表示第i個狀態(總共有n種狀態);
P(Xi)——表示第i個狀態出現的機率;
H(X)——表示用以消除這個事物的不確定性所需要的信息量。
例題:向空中投擲硬幣,落地後有兩種可能的狀態,一個是正面朝上,另一個是反面朝上,每個狀態出現的機率為1/2。如投擲均勻的正六面體的骰子,則可能會出現的狀態有6個,每一個狀態出現的機率均為1/6。試通過計算來比較狀態的不肯定性與硬幣狀態的不肯定性的大小。
信息量H(硬幣)= -(2×1/2)× ≈1(比特)
信息量H(骰子)= -(1/6×6)× ≈2.6(比特)
由以上計算可以得出兩個推論:
[推論1] 若且唯若某個P(Xi)=1,其餘的都等於0時, H(X)= 0。
[推論2]若且唯若某個P(Xi)=1/n,i=1, 2,……, n時,H(X)有極大值log n。
發展過程
信息量如今被稱為信息化社會,現代情報學理論及其套用,非常注重信息量化測度。1980年代,英國著名情報學家B.C.布魯克斯,在闡述人之信息(情報)獲取過程時,深入研究了感覺信息的接收過程,並將透視原理──對象的觀察長度Z與從觀察者到被觀察對象之間的物理距離X成反比,引入情報學,提出了Z= 的對數假說。用此能較好地說明信息傳遞中,情報隨時間、空間、學科(行業)的不同而呈現的對數變換。然而,關於用戶的情報搜尋行為,在其信息來源上,“獲取距離最近的比例最高,最遠的比例最低”的結論,在跨域一體、存在國際網際網路,需要有新的理論進行新的概括。對數透視變換,源於實驗心理物理學。1846年德國心理學家E.H.Weber提出了韋伯公式:△I/I=k。這裡,△I代表剛可感覺到的差別閾限,I代表標準刺激物理量,k是小於1的常數。後來,Fechner把這個關於差別閾限的規律稱之為韋伯定律,並於1860年在此基礎上提出了著名的費肯納對數定律:心理的感覺量值S是物理刺激量I的對數函式,即S=cLogI,c是由特殊感覺方式確定的常數。
1957年Stevens提出冪定律:S=bIa,a與b為特徵常數。心理物理函式究竟是服從冪定律還是服從對數定律?W.S.Togerson認為,這不能通過實驗解決,而是一個在實驗中進行選擇的問題。G.Ekman在假定Fechner的對數定律是普遍正確的前提下,推導出冪定律是對數定律的一個特例。
中國有突出貢獻的科學家程世權,在1990年出版的《模糊決策分析》一書中,評介引述於宏義等對“系統的定性和定量轉化,總結歸納出了一種方便可行、科學可靠的定性排序與定量轉化的方法”。於宏義等之方法,在利用顯在的頻數信息的同時,巧妙利用了潛在的泛序信息——權數,使模糊系統簡便有效地轉化成明晰的工程系統。其測度模式是:
F(I)=Ln(max{I}-I+2)/Ln(max{I}+1)。
式中,I為所論對象按一定指標的排序序號,F(I)為其隸屬度。實際套用中巧妙運用“自動連鎖”機制,確實簡便、實用、有效。所謂“自動連鎖”機制,就是“評價者在評價他人他事他物的同時,不能不表現自身,不能不被評價” 。

