簡介
位勢流
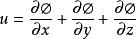
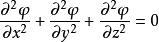
位勢流,式中 Φ稱做速度勢。
數學分析有一命題:旋度在一個區域中為零同這個區域中流動有速度勢是相互等價的。因此,位勢流又叫無旋流。從18世紀開始,人們用位勢流的方法成功地反映了漣波、潮汐波和聲波的規律。19世紀中期又弄清無粘流體的理論可以允許一部分流體是有旋的(如渦絲、渦環),而包圍這部分有旋流的卻可以是位勢流。並且,如果知道了有旋流部分的旋度分布,就可以算出位勢流部分的速度場。
流體力學位勢流
位勢流
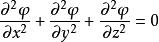
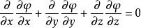
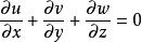
位勢流位勢流在流體力學中發展得早而成熟,從歐拉就開始研究,這是因為相應的數學問題比較簡單。把三個未知函式 u,v,w用一個標量函式 Φ來代替,如果密度 ρ均勻不變,又不考慮粘性,而採用歐拉方程計算,則連續方程:就簡化成 ,即。
這樣,方程就變成了線性的、只有一個未知量 Φ的二階常係數橢圓型方程──拉普拉斯方程。這比原來要處理的非線性方程組,從數學上說簡單得多。此外,在定常的情形下,還可以把歐拉方程組沿流線積分而得到伯努利方程。這樣,一旦求出 Φ就可根據伯努利方程求出壓力分布 p( x, y, z, t)。
開爾文(W.湯姆孫)在 1869年證明了環量守恆定理後才比較清楚在什麼條件下會出現位勢流,例如無粘氣體從靜止狀態而形成絕熱運動,或是密度不變的無粘流體在重力作用下運動,則在流體內部(不涉及固體壁面或接觸間斷之類的邊界)畫任意一些封閉"流體線"(指永遠是由同樣的流體質點所組成的線,它和流體質點一起運動),沿這些線的環量起初都是零。如果以後流場保持連續,且歐拉方程成立,那么流體線都移動、變形,環量仍為零。因此,這些流體線內部沒有旋度,都是位勢流。可見,位勢流的出現會是廣泛的。還要說明一下,不能盲目地假設流動一定都是位勢流。流體線不能穿過流場發生不連續的面(如切向間斷),否則環量守恆和上述論證都不成立。切向間斷和邊界層是兩種產生渦旋的原因(見渦旋)都不能用位勢流理論來描述。

