簡介
亥姆霍茲方程(英語: Helmholtz equation)是一個描述電磁波的橢圓偏微分方程,以德國物理學家亥姆霍茲的名字命名。其基本形式如下:
亥姆霍茲方程其中 ∇是哈密頓運算元, k是波數, A是振幅。
動機和用途
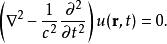
亥姆霍茲方程通常出現在涉及同時存在空間和時間依賴的偏微分方程的物理問題的研究中。例如,考慮波動方程:
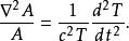
亥姆霍茲方程在假定 u( r, t) 是可分離變數情況下分離變數得:
亥姆霍茲方程將此形式代入波動方程,化簡得到下列方程:
亥姆霍茲方程注意左邊的表達式只取決於 r,而右邊的表達式只取決於 t。其結果是,若且唯若等式兩邊都等於恆定值時,該方程在一般情況下成立。從這一觀察中,可以得到兩個方程,一個是對 A( r) 的,另一個是對 T( t) 的:
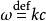
亥姆霍茲方程而
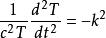
亥姆霍茲方程在不失一般性的情況下,選擇 − k這個表達式作為這個常值。(使用任何常數 k作為分離常數都同樣有效;選擇 − k只是為了求解方便。)
調整第一個方程,可以得到亥姆霍茲方程:
亥姆霍茲方程同樣,在用
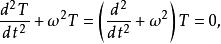
亥姆霍茲方程進行代換之後,第二個方程成為
亥姆霍茲方程
亥姆霍茲方程其中 k是分離常數波數, ω是角頻率。注意到現在有了空間變數的亥姆霍茲方程和一個二階時間常微分方程。時間解是一個正弦和餘弦函式的線性組合,而空間解的形式依賴於具體問題的邊界條件。經常可以使用拉普拉斯變換或者傅立葉變換這樣的積分變換將雙曲的偏微分方程轉化為亥姆霍茲方程的形式。
因為它和波動方程的關係,亥姆霍茲方程在物理學中電磁輻射、地震學和聲學等相關研究領域裡有著廣泛套用。
參閱
•基爾霍夫積分定理

