介紹
吉布斯─亥姆霍茲方程,是對計算系統的吉布斯自由能變化的有用熱力學公式。為一溫度函式。此方程式以約西亞·吉布斯與赫爾曼·馮·亥姆霍茲來命名:
吉布斯-亥姆霍茲方程
吉布斯-亥姆霍茲方程
吉布斯-亥姆霍茲方程
吉布斯-亥姆霍茲方程其中: 焓; 絕對溫度; 吉布斯能。
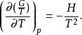
吉布斯-亥姆霍茲方程在定壓 下,達成平衡的關鍵為:在微小變化中 G/T 與 T 的比值.
對於化學反應,方程式又可寫成:
吉布斯-亥姆霍茲方程
吉布斯-亥姆霍茲方程
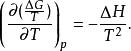
吉布斯-亥姆霍茲方程其中 為吉布斯能變化量及 為焓的變化量(為一溫度獨立變數)。
也可重新寫成:
吉布斯-亥姆霍茲方程上述方程能夠藉由於25°C 及 1 bar的情況下所定的 標準吉布斯能,快速的算出在任何溫度下,化學反應所造成的吉布斯能變化
透過:
吉布斯-亥姆霍茲方程能讓方程式連結吉布斯能與平衡常數,或范特霍夫方程式。
證明
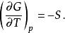
在封閉系統下,吉布斯能為:
吉布斯-亥姆霍茲方程
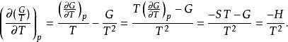
吉布斯-亥姆霍茲方程在定壓 下可簡化成:
吉布斯-亥姆霍茲方程或
吉布斯-亥姆霍茲方程在除法定則的幫忙下, G/T 的比值可視 T 而定:
吉布斯-亥姆霍茲方程經歷一段時間後,發現可寫成:
吉布斯-亥姆霍茲方程
