交流電橋
交流電橋是測量各種交流阻抗的基本儀器,如電容的電容量,電感的電感量等。此外還可利用交流電橋平衡條件與頻率的相關性來測量與電容、電感有關的其他物理量,如互感、磁性材料的磁導率、電容的介質損耗、介電常數和電源頻率等,其測量準確度和靈敏度都很高,在電磁測量中套用極為廣泛。
常用的交流電橋電路有:電感電橋、麥克斯韋(Maxwell)電橋、海氏(Hay’s)電橋、電容電橋。交流電橋因測量任務的不同而有各種不同的形式,但只要掌握了它的基本原理和測量方法,對於各種形式的交流電橋都比較容易掌握。
交流電橋的平衡條件
交流電橋
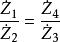
交流電橋當電橋平衡時 ,
交流電橋
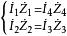
交流電橋此時有 ,
交流電橋
交流電橋
交流電橋將兩式相除得: , 這就是電橋平衡的條件,即:

