簡介
較流行的Cooley-Tukey算法經由mixed-radix一般化後,也是把 N = N N大小的離散傅立葉變換分割為 N和 N大小的轉換,但和互質因子算法 (PFA)作法並不相同,不應混淆。Cooley-Tukey算法的 N與 N不需互質,可以是任何整數。然而有個缺點是比PFA多出一些乘法,和單位根twiddle factors相乘。相對的,PFA的缺點則是 N與 N需互質 (例如 N 是2次方就不適用),而且要藉由中國剩餘定理來進行較複雜的re-indexing。互質因子算法 (PFA)可以和mixed-radix Cooley-Tukey算法相結合,前者將 N 分解為互質的因數,後者則用在重複質因數上。
PFA也與nested Winograd FFT算法密切相關,後者使用更為精巧的二維折積技巧分解成 N * N的轉換。因而一些較古老的論文把Winograd算法稱為PFA FFT。
儘管PFA和Cooley-Tukey算法並不相同,但有趣的是Cooley和Tukey在他們1965年發表的有名的論文中,沒有發覺到高斯和其他人更早的研究,只引用Good在1958年發表的PFA作為前人的FFT結果。剛開始的時候人們對這兩種作法是否不同有點困惑。
算法
離散傅立葉變換(DFT)的定義如下:
互質因子算法 PFA將輸入和輸出re-indexing,代入DFT公式後轉換成二維DFT。
Re-indexing
設 N = N N, N與 N兩者互質,然後把輸入 n 和輸出 k 一一對應到
互質因子算法 因 N與 N 互質,故根據最大公因數表現定理,對每個 n 都存在滿足上式的整數 n與 n,且在同餘 N 之下 n可以調整至0~ N –1之間, n可以調整至0~ N –1之間。並根據同餘理論易知滿足上式且在以上範圍內的整數 n與 n是只有一個的。這稱為 Ruritanian 映射 (或 Good's 映射),
互質因子算法
互質因子算法 舉例來說:
互質因子算法
互質因子算法 如果對於任一都可以對應到
互質因子算法
互質因子算法
互質因子算法
互質因子算法
互質因子算法
互質因子算法
互質因子算法
互質因子算法
互質因子算法
互質因子算法
互質因子算法
互質因子算法
互質因子算法
互質因子算法
互質因子算法
互質因子算法 因 N與 N互質,故根據中國剩餘定理,對於每組 ( k, k) (其中 k在0~ N– 1之間, k在0~ N– 1之間),都有存在且只有一個的 k在0~ N- 1之間且滿足上兩式。這稱為 CRT映射。 CRT映射的另一種表示法如下
互質因子算法 其中 N表示 N在模 N之下的反元素, N反之。
( 也可以改成對輸入 n用 CRT映射以及對輸出 k用 Ruritanian映射)
對於有效re-indexing (理想上是達到原地)的方法有許多研究,以減少耗費時間的模運算。
DFT re-expression
表示方法一:
將以上的re-indexing代入DFT公式里指數部分的 nk之中,
互質因子算法 ( 因為 e= 1,所以兩個指數的 k部分可以分別模 N與 N)。剩下的部分變成
互質因子算法 則內部和外部的總和分別轉換成大小為 N與 N的DFT。
表示方法二:
互質因子算法 如果令
互質因子算法
互質因子算法
互質因子算法 令相當於取的餘數,
互質因子算法
互質因子算法
互質因子算法
互質因子算法
互質因子算法
互質因子算法
互質因子算法
互質因子算法
互質因子算法
互質因子算法
互質因子算法
互質因子算法 對於每一個都要做一個點的,而因為有個,所以需要個點
互質因子算法
互質因子算法
互質因子算法
互質因子算法
互質因子算法
互質因子算法
互質因子算法
互質因子算法
互質因子算法 對於每一組都要做一個點的而因為為常數,有個,所以需要 個點,
因此如果要計算複雜度,可以乘法器的數量當作考量,
互質因子算法
互質因子算法
互質因子算法 假設點的需要個乘法器,
互質因子算法
互質因子算法
互質因子算法 假設點的需要個乘法器,
互質因子算法 則總共需要個乘法器。
與Cooley-Tukey算法的比較
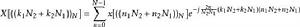
如首段所述,Cooley-Tukey算法和互質因子算法 (PFA)曾被誤認為很類似。兩者皆有各自優點可適用於不同狀況,因此分辨它們的不同是很重要的。在1965年著名的論文中發表的Cooley-Tukey算法,是在DFT的定義
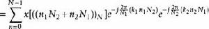
互質因子算法 中代入 n= n+ n N, k= k N+ k,則
互質因子算法
互質因子算法
互質因子算法 比PFA多了一些要乘的因子 (稱為twiddle factors),但index較為簡單,且適用於任何 N、 N。在J. Cooley稍後發表的關於FFT歷史探討的論文中使用 N= 24點FFT為例,顯示兩種作法在index結構上的不同。

