
【英文名稱】chlorempenthrin
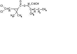
【結構或分子式】
分子結構:
叄鍵C原子以sp雜化軌道形成σ鍵。
分子中雙鍵C、O原子均以sp2雜化軌道形成σ鍵。
分子中其它C、O原子均以sp3雜化軌道形成σ鍵。
【相對分子量或原子量】315.25
【密度】1.12
【沸點(℃)】128~130(40Pa)
【蒸氣壓(Pa)】4.13E-2
【折射率】1.5047(21℃);1.5037(25℃)
【毒性LD50(mg/kg)】
小鼠急性經口790,大鼠急性經口LD50 340毫克/公斤。Ames試驗為陰性。以常用量的50~100倍進行噴灑或熏蒸,對人畜、眼、鼻、皮膚及呼吸道均無刺激。
【性狀】
淡黃色至棕黃色油狀液體或白色至淡黃色粉末狀固體。
【溶解情況】
易溶於丙酮、乙醇、苯等有機溶劑,難溶於水。
【用途】
是一種高效、低毒的新型擬除蟲菊酯類殺蟲劑,對蚊、蠅、蟑螂均有較好的效果。具有蒸氣壓高、揮發度好、殺滅力強的特點,對害蟲擊倒速度快,特別是在噴霧及熏蒸時擊倒效果更為顯著。
【其他】
在鹼性條件下易水解。製劑:電熱蚊香片、液體蚊香、蚊香及氣霧劑等,以及40%中西氣霧液劑。
【包裝及貯運】
原油有0.5kg、1kg及25kg塑膠或塑膠桶。按一般農藥規定貯運。
【生產單位】
上海中西藥業股份有限公司、華東醫學生物技術研究所實驗廠。

