簡介
大部分晶體在自然光入射的情況下產生的o光和e光的強度相等。但是,也有一些晶體對兩支折射光的吸收相差很大,這種性質叫做二向色性。利用晶體的二向色性可以製作偏振片。
二向色性是指物質對光的吸收係數依賴於入射光的偏振狀態。早在1815年拜厄特(Biot)就發現了電氣石晶體的二向色性(dichorism)利用它製造出第一批電氣石起偏器。
解釋
我們知道,一個自然光的平行光束可看作是由在垂直於傳播方向的任何兩個相互正交方向上偏振的兩個互不相干的等振幅光束組成。選擇晶體中主振動方向作為這兩部分光束的振動方向,如果E是進入晶片的兩個部分光束中每一個的振幅,則在晶片中傳播距離L後、它們的振幅為:
二向色性
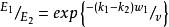
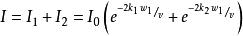
二向色性假定入射光是準單色的、平均頻率為w。,傳播速度為v。那么
二向色性總強度:
二向色性
二向色性
二向色性式中 。如果兩個衰減指數K、K差別很大,則相當薄的一片物質就足以把入射的非偏振光束變換為近似線偏振光束,即晶片起著起偏振器的作用。如果 》K,例如把H片沿//方向拉伸,則⊥方向為其透振軸方向。
相關知識:晶體的雙折射
二向色性一束單色光在晶體表面折射時(如圖所示),一般可以產生兩束折射光,這種現象叫做雙折射。兩束折射光中,有一束總是遵守折射定律,稱為尋常光,用符號o表示;另一束一般不遵守折射定律,稱為非常光,用符號e表示。o光和e光都是線偏振光。
為了說明o光和e光的振動方向和傳播方向,需要了解晶體內某些特殊的方向和平面:
光軸-晶體內一個特殊的方向,當光沿這個方向傳播時,不發生雙折射現象,並且o光和e光的傳播速度相等。只有一個光軸方向的晶體,稱為單軸晶體(如方解石、石英、紅寶石等)。有兩個光軸方向的晶體,稱為雙軸晶體(如雲母、霰石、藍寶石等)。
主平面——由o光和光軸組成的面稱o主平面;由e光和光軸組成的面稱e主平面。o光的電矢量振動方向垂直於o主平面,e光的電矢量振動方向則在e主平面內。
主截面——由光軸和晶體表面法線組成的面。可以證明,當光線以主截面為入射面時,o光和e光都在主截面內,這時主截面也是o光和e光的共同主平面。
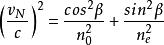
晶體產生雙折射的原因,在於晶體在光學上的各向異性。由電磁理論可以證明,對於晶體內除光軸外的一個給定的方向,允許兩束電矢量互相垂直的線偏振光以不同的速度傳播。對於單軸晶體,其中一束光的速度不隨傳播方向改變,這就是o光。它的波面是一個球面。另一束光的速度隨傳播方向改變,這就是e光,它的波面是一個以光軸為對稱的迴轉橢球面,其方程為
二向色性
二向色性
二向色性
二向色性
二向色性
二向色性
二向色性式中是o光折射率,是e光沿垂直於光軸方向傳播時的折射率,是e光線與光軸的夾角,c是真空中光速。負晶體()和正晶體()的o光、e光波面分別如圖所示。利用波面的概念,由惠更斯作圖法便可求出晶體中o光和e光的折射方向。
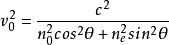
應該注意,晶體中e光線的傳播速度和方向一般地與它的波陣面的傳播速度和方向(沿波陣面法線方向)不同,後者稱為法線速度。法線速度矢量端點描繪的軌跡是法線面,它與波面的幾何關係如圖所示,其方程為
二向色性
二向色性
二向色性
二向色性式中表示法線速度,表示法線速度矢量與光軸的夾角。法線面的空間形狀是一以光軸為對稱軸的卵形面。
利用晶體的雙折射現象,可以製成各種偏振稜鏡,使我們直接從自然光獲得偏振光。
大部分晶體在自然光入射的情況下產生的o光和e光的強度相等。但是,也有一些晶體對兩支折射光的吸收相差很大,這種性質叫做而向色性。利用晶體的二向色性可以製作偏振片。
在微觀領域
在微觀領域,分子的光吸收率不是一個標量,而是具有一定的方向性(矢量)。若三個方向的吸收係數不同,則兩係數之差稱為二向色性。巨觀上吸收率的二向色性表現為吸收係數具有方向性,巨觀上的二向色性既與分子的二向色性有關,也與分子排列有關,故二向色性可作為取向度的一種表征方法。另外,大分子鏈上某些官能團具有一定的方向性,它對振動方向不同的紅外光亦會表現出二向色性,稱為紅外二向色性。
套用
製作彩色偏振片:
定向排列的金屬絲柵和碘硫酸奎與“結品、定向嵌入透明塑膠膠片上的碘和某些染料都有良好的二向色性。因此它們都是製作不同用途的偏振器的好材料。
在e方向與0方向碘的吸收有明顯的差別,並隨波長變化。land等人利用這一差別製造出通常帶藍色或棕色的H偏振J於。我們經過多次試驗,發現某些含細長分子的染料也具有相當好的二向色性。可以利用它製造其他彩色偏振片。如用:
直接桃紅+直接銀灰、製造紅色偏振片
直接凍黃+直接紅棕、製造黃色偏振片
直接墨綠、製造綠色偏振片
直接棗紅一製造紫色偏振片
配製染料溶液時,除用相應的染料外,並加入少量的氫氧化鈉。
用染料製造彩色偏振片的大體工序是:首先把染料加熱成高溫溶液,再把透明塑膠膠片投入,使染料分子擴散進入片內,最後再用拉伸法使染料分子做單向排列。此外還有一種摩擦法,使染料和透明塑膠膠片表面直接摩擦,染料分子便平行附著於膠片上,效果相同。
透明塑膠膠片也可以用聚乙烯醇製造。製造H片的浸碘、拉伸、粘合工藝同樣適用於彩色偏振片的製造。只不過這時用染料代替碘。另外,在粘合方面,無色透明的環氧樹脂光學膠從紫外,可見光到紅外有相當好的光譜透過率,又有良好的耐介質性能,是偏振片較為理想的粘合劑。使用時工作室溫提高到30℃左右,粘合件預熱到40℃左右,這時,環氧膠的粘度下降到100(mpa·s),粘起來並不感到困難。與H偏振片一樣,彩色偏振片內染料分子加得愈多,片的偏振度愈高,而相應片的光透射效率降低。
