比較勞動生產率、二元對比係數和二元反差指數是二元經濟結構的三個主要測度指標。
定義
二元反差指數,即第二、三產業或非農業產值比重與勞動力比重之差的絕對值。二元反差指數理論上也為0-1之間,與二元對比係數相反,反差指數越大,第一產業和第二、三產業的差距越大,經濟二元性越明顯;當二元反差指數為0時,二元經濟轉變為一元經濟,二元性消失。
由於二元反差指數採用部門產值(或收入)比重與勞動力比重之差來反映二元經濟結構,而不像比較勞動生產率和二元對比係數採用部門產值(或收入)比重與勞動力比重之比來反映二元經濟結構,使得二元反差指數的意義不像比較勞動生產率和二元對比係數的意義那么直接和明晰。
數學意義
二元反差指數的數學計算公式:
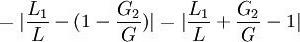
二元反差指數由於G1 + G2 = G,Ll + L2 = L,所以G2 = G − G1,L2 = L − L1,從而二元反差指數的數學計算公式可以變為:
二元反差指數消除絕對值後,我們知道二元反差指數的數學意義包括如下三項內容:
1)當

時,二元反差指數的數學計算公式變為

2)當
二元反差指數時,二元反差指數的數學計算公式變為R2 = 0;
3)當

時,二元反差指數的數學計算公式變為

邏輯意義
人類社會正在經歷由農業社會向工業社會轉化的進程,經濟發展也正在實現從農業經濟向現代工業經濟的轉化。從農業經濟向現代工業經濟轉化的經濟發展過程角度來認識和分析二元經濟結構,我們發現,二元反差指數正好體現了其中的邏輯意義,即二元反差指數的數學意義所包含的三項內容與二元經濟結構的演化過程具有邏輯上的對應關係。
在由農業經濟向現代工業經濟轉化的經濟發展過程的最早期(以下稱其為由農業經濟向現代工業經濟轉化的經濟發展過程的第一時期),由於農業部門是整個社會的絕對經濟重心,而非農業部門剛剛萌芽產生,很稚嫩、很不完善,因而,農業部門勞動力比重與農業部門產值(或收入)比重均接近於 l。又由於剛剛萌芽的非農業部門的生產力水平顯然低於農業部門,因此我們可以合理地推斷:在這一時期,農業部門的產值(或收人)比重大於農業部門勞動力比重,即
。隨著新興的非農業部門的逐步發展和完善,其生產力水平越來越接近於農業部門的生產力水平,在歷史進程的某一個時期,農業部門的產值(或收人)比重與農業部門勞動力比重相等,即
utf − 8,我們稱這一時期為由農業經濟向現代工業經濟轉化的經濟發展過程的第二時期。在這之後就進人到由農業經濟向現代工業經濟轉化的經濟發展過程的第三時期,這一時期的特徵是農業部門的產值(或收人)比重會小於農業部門勞動力比重,即
。
理論意義
1、經濟發展過程角度的理論意義分析
依據前面的對二元反差指數的邏輯意義分析結果,我們知道,二元反差指數實際上是一個對由農業經濟向現代工業經濟轉化的經濟發展過程的二元經濟結構變化的綜合測度指標,它濃縮了由農業經濟向現代工業經濟轉化的經濟發展過程的三個階段的二元經濟結構變化情況。也正因為如此,其意義才表現得不像比較勞動生產率與二元對比係數那樣直接和清晰。
2、現實角度的理論意義分析
我國現階段正處於由農業經濟向現代工業經濟轉化的經濟發展過程的第三時期,農業部門的產值(或收人)比重小於農業部門勞動力比重,因此,現實角度的二元反差指數的理論計算公式為:

在由農業經濟向現代工業經濟轉化的經濟發展過程的第三時期的前期,由於新興的非農業部門代表著先進生產力,因此必然造成農業部門的產值(或收人)比重減少較快,而農業部門勞動力比重減少較慢,從而使得農業部門的產值(或收人)比重與農業部門勞動力比重的差距會越來越大,亦即二元反差指數越來越大(但不會是嚴格單調增加)。但是,隨著非農業部門先進生產力的不斷發展、完善和提高,全社會也就有越來越多的財力、物力、技術、措施來支援、改造和提升農業部門的生產力水平,從而二元反差指數會慢慢減小(但不會是嚴格單調減少)。我們可以把由農業經濟向現代工業經濟轉化的經濟發展過程的第三時期再劃分成兩個階段:二元反差指數逐步增大的時期(稱為二元經濟結構加劇階段)以及二元反差指數逐步減小的時期(稱為二元經濟結構緩解階段)(如圖l所示)。
二元反差指數3、比較角度的理論意義分析
形式上看,與比較勞動生產率與二元對比係數兩個測度指標相比較,二元反差指數這一測度指標的特點是,它僅僅根據農業部門這一個部門的產值(或收人)比重與勞動力比重來測度二元經濟結構;而比較勞動生產率與二元對比係數兩個測度指標既根據農業部門產值(或收人)比重與勞動力比重,又依據非農業部門產值(或收人)比重與勞動力比重來測度二元經濟結構。
依據劉易斯等眾多經濟學家的研究結果,二元經濟結構體現為產值(或收人)和勞動力在現代工業部門和傳統農業部門之間的配置,因此測度指標首先就是兩部門的產值(或收人)比重和勞動力比重,二元經濟結構的消減意味著農業部門產值(或收人)比重和勞動力比重的逐漸降低,而非農業部門的兩個比重卻相應提高。比較勞動生產率與二元對比係數兩個測度指標正是以此研究結果為基礎而提出來的綜合性的測度指標。二元反差指數雖然形式上僅涉及農業部門這一個部門的產值(或收人)比重與勞動力比重,但由於G1 + G2 = G,L1 + L2 = L,從而

因此,二元反差指數也有如下表述:



這說明二元反差指數實際上仍然還是根據農業部門與非農業部門兩個部門的產值(或收入)比重和勞動力比重來測度二元經濟結構的;也就是說,二元反差指數仍是以劉易斯等眾多經濟學家的研究結果為基礎而提煉出來的綜合性的測度指標。
結論
二元反差指數與比較勞動生產率、二元對比係數這兩個指標一樣,都是以劉易斯等眾多經濟學家的研究結果為基礎而提出來的反映二元經濟結構的綜合性的測度指標。但由於二元反差指數濃縮了由農業經濟向現代工業經濟轉化的經濟發展過程的三個階段的二元經濟結構變化情況,所以其意義才表現得不像比較勞動生產率與二元對比係數那樣直接和清晰。
我國現階段正處於由農業經濟向現代工業經濟轉化的經濟發展過程的第=he期。現階段我國二元反差指數的具體計算公式為:

並且,我們可以把由農業經濟向現代工業經濟轉化的經濟發展過程的第三時期再劃分成兩個階段:二元經濟結構加劇階段以及二元經濟結構緩解階段。
