現象描述
乾暖蓋(dry and warm lid)是指覆蓋在較濕空氣之上,具有一定厚度的高溫乾燥空氣層,離地面1一3km。
它與行星邊界層內長波輻射造成的逆溫層不同,沒有明顯日變化。在低層等壓面圖上,常表現為次天氣尺度的暖舌。乾暖蓋是強對流發生的重要前兆。它的存在和維持,對不穩定能量的積聚有重要作用。
早期研究情況
我國陝西氣象工作者在1964年分析1963年6月29日關中、陝南罕見雹暴時就注意到,27日以後500 hPa青藏暖高壓東移,形成逆溫層暖空氣蓋,對上述雷暴大風天氣事件的發生起了很大作用。我國開展能量天氣學分析以後,發現乾暖蓋是許多暴雨、雹暴前期的共同性特徵。Carlson分析歐美的一些著名強風暴後也發現高原上的乾空氣平流到下游,形成乾暖空氣蓋,是強風暴前期的重要特性。
強度指數
表達式
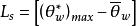
乾暖蓋乾暖蓋的相對強度可用 指數表示 :
乾暖蓋
乾暖蓋
乾暖蓋
乾暖蓋式中表示逆溫層頂處的最大飽和濕球位溫,表示靠近地面50 hPa氣層中的濕球位溫的平均值。越大,表示乾暖蓋越強。
乾暖蓋
乾暖蓋上式中的也可以用替代。
單位
乾暖蓋強度指數的單位可以取為℃。

