定義
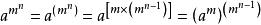
求n個相同因數乘積的運算,叫做乘方,乘方的結果叫做冪(power)。其中,a叫做底數(base number),n叫做指數(exponent),當aⁿ看作a的n次乘方的結果時,也可讀作“a的n次冪”或“a的n次方”。
註:下面的討論中,底數均不為0。
常用公式
同底數冪法則
同底數冪相乘除,原來的底數作底數,指數的和或差作指數。
乘方
乘方 例如:
乘方 1) ;
乘方 2) ;
乘方 3)
推導示例:
乘方 設 中,m=2,n=4,那么
乘方
乘方 =
乘方 =
乘方 =
乘方 =
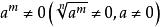
正整數指數冪法則
乘方
乘方 ,其中 *(即k為正整數)
指數為0冪法則
乘方
乘方
乘方 ,其中 , *
推導:
乘方
乘方 =
乘方 =
=1
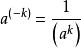
負整數指數冪法則
乘方
乘方
乘方 ,其中 , *
推導:
乘方
乘方 =
乘方 =
乘方 =
正分數指數冪法則
乘方
乘方
乘方
乘方 ,其中 , , *(即m,n為正整數)
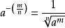
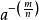
負分數指數冪法則
乘方
乘方
乘方
乘方
乘方 ,其中, , , , *
推導:
乘方
乘方 =
乘方 =
乘方 =
乘方 =1/
乘方 =
乘方
乘方 分數指數冪時,當 *, 且 時,則該數在實數範圍內無意義
特別地,0的非正數指數冪沒有意義
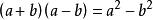
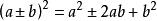
平方差
兩數和乘兩數差等於它們的平方差。
用字母表示為:
乘方 推導:
乘方
乘方 =
乘方 =
乘方 =
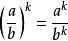
分數的乘方法則
乘方
乘方 證明:
乘方 =
乘方 =
冪的乘方法則
冪的乘方,底數不變,指數相乘。
用字母表示為:
乘方
乘方 特別指出:
積的乘方
積的乘方,先把積中的每一個因數分別乘方,再把所得的冪相乘。
用字母表示為:
乘方 這個積的乘方法則也適用於三個以上乘數積的乘方。如:
乘方 同指數冪乘法
同指數冪相乘,指數不變,底數相乘 。
用字母表示為:
乘方 完全平方
兩數和(或差)的平方,等於它們的平方的和加上(或者減去)它們的積的2倍。
用字母表示為:
乘方 我們一般把它叫作 完全平方公式。
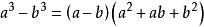
立方差
乘方 多項式平方
乘方 二項式
艾薩克·牛頓發現了 二項式。二項式是乘方里的複雜運算。右圖為二項式計算法則。一般來說,二項式的各項係數按排列順序也可以這樣表示:
乘方 1
1 1
1 2 1
1 3 3 1
1 4 6 4 1
1 5 10 10 5 1
…… …… ……
這就是著名的 楊輝三角。
有理數乘方的符號法則
(1)負數的偶次冪是正數,負數的奇數冪是負數。
( 2)正數的任何次冪都是正數。
(3)0的任何正數次冪都是0。
速算
有些較特殊的數的平方,掌握規律後,可以使計算速度加快,現介紹如下。
由n個1組成的數的平方
我們觀察下面的例子。
1²=1
11²=121
111²=12321
1111²=1234321
11111²=123454321
111111²=12345654321
……
由以上例子可以看出這樣一個規律;求由n個1組成的數的平方,先由1寫到n,再由n寫到1,即:
11…1 (n個1)²=1234…(n-1)n(n-1)…4321
注意:其中n只占一個數位,滿10應向前進位,當然,這樣的速算不宜位數過多。
由n個3組成的數的平方
我們仍觀察具體實例:
3²=9
33²=1089
333²=110889
3333²=11108889
33333²=1111088889
由此可知:
33…3 (n個3)² = 11…11[ (n-1)個1] 0 88…88[ (n-1)個8] 9
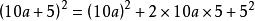
個位是5的數的平方
把a看作10的個數,這樣個位數字是5的數的平方可以寫成;(10a+5)²的形式。根據完全平方式推導;
乘方
乘方 =
乘方 =
乘方 =
由此可知: 個位數字是5的數的平方,等於去掉個位數字後,所得的數與比這個數大1的數相乘的積,後面再寫上25。
科學記數法
乘方
乘方
乘方
乘方 一個絕對值大於等於1的數可以寫成(其中,,且n為正整數)的形式叫做科學記數法 例如: 、
乘方
乘方
乘方
乘方 當是負整數指數冪的時候,絕對值小於1的數也可以用科學記數法表示。例如: ,即絕對值小於1的數也可以用科學記數法表示為 的形式,其中 , 是正整數。
任何非0實數的0次方都等於1。
pascal語言實現自然數乘方
注意:只能用於求底數、指數均為自然數,且冪不大於2147483647的乘方運算,否則會出錯.

