簡介
MR所用的射頻脈衝的頻率並不均勻,包括由低到高的一段頻率,常以其中心頻率表示。在B0為1.0T時,Larmorr頻率為42.5MHz,如某一射頻脈衝的頻寬為20kHz(即0.02MHz),則該射頻脈衝實際上包含42.49-42.51MHz這一範圍的頻率,其中心頻率為42.5MHz,頻寬越寬,斷層厚度越厚。頻寬不變時,層面選擇方向上的梯度磁場強度越高,層厚越薄,故通過調整射頻脈衝的頻寬或改變梯度磁場的強度,可得到不同層面,臨床上主要通過改變梯度磁場的強度來達到改變層厚的目的。
中心頻率的套用選擇
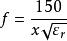
圖2-4-1—2-4-4天線中心頻率選擇需要兼顧探測深度、解析度和天線尺寸是否符合場 地需要。一般來說,中心頻率越高,介質內的電磁波波長越短,探測解析度則越高,但其探測深度則越淺,反之則相反。因此,在滿足解析度且場地條件又許可時,應該儘量降低天線中心頻率,以便最大限度的加大檢測深度。如果要求的空間解析度為x(m),周圍環境相對介電常數為ε,可由下式作為初選雷達天線的中心頻率f的依據,即:
中心頻率(HMZ)
通常情況下,基層厚度為10~60 cm,面層厚度<20cm,在檢測中還需根據檢測目標界面的埋深,選擇合理的天線中心頻率,方可取得最佳效果。影響探測深度主要因素除了工作中心頻率外,還有介質吸收係數或電導率,背景噪音功率,發射功率和方向性,目標體的形狀與電性特徵等,可見影響探測深度因素是一個複雜性問題。因此,針對不同路面結構層的不同材料進行試驗選定。
為研究探地雷達檢測路面基層的最佳測試中心頻率技術指標,我們在濟源至東明高速公路焦作至修武段,對已在下基層的頂部,底基層的頂部,墊層頂部,墊層中部和墊層底部分別埋設金屬板的幾個路段,參照式的估算,分別採用了:400 MHZ,900 MHZ,1.0 GHZ,2.0 GHZ天線,置布一條通過5塊埋板地面投影位的縱剖面進行現場測試,並在每一塊埋板處布置了橫跨路面的橫剖面,其中,K11+400剖面測試結果如圖2-4-1、2-4-2、2-4-3、2-4-4所示。此外,還在I標段K4+900和K9+800處,進行了相同的現場測試。
由實測資料我們可得出以下結論:
(1)隨著中心頻率的增高,其探測深度明顯減小。
(2)利用400 MHz和900 MHz中心工作頻率能準確查明埋深在60.0cm內的路面基層和底基層結構層厚度和缺陷;在理想條件(濕度較小)下,可分別對150 cm和100 cm深度範圍內的基層、底基層和墊層的厚度與缺陷進行探測。
(3)1000 MHz和2000 MHz中心頻率僅能準確檢測埋深在40.0cm內的基層厚度和缺陷,在理想條件(濕度較小)下,能分別對其下方80cm和60cm範圍內的結構層進行檢測。
射頻頻率調製和中心頻率校正
考慮到FM—UWB對相位噪聲的要求很低(-80dBc/Hz@1MHZ頻偏),為了實現超寬頻頻譜,射頻FM常用高增益的射頻VCO來實現;既可用LC-VCO,在先進工藝如65nm情況下,也可以用Ring VCO。中心頻率校正有兩種方法:數字頻率偏差預補償、鎖頻環(FLL)。
圖5-6給出了基於數字頻率偏差預補償的中心頻率校正電路。射頻VCO首先工作在閉環情況下,當其中心頻率為f時,PLL負反饋使VCO的輸入控制電壓保持在V+△,頻率偏移量△f對應的模擬電壓△經ADC被保存在存儲器(如ROM)中;然後VCO工作在開環狀態,保存在ROM巾的頻偏電壓△。經DAC後直接和共模電平為KM的子載波相加,兩者之和被送往VCO進行射頻頻率調製。如此,射頻中心頻率就維持在f上。
這種預補償方法的不足之處是明顯的:①需要太多的模組,如ADC、DAC、ROM和PLL,不利於CMOS集成,且設計複雜、功耗大;②需要在兩種工作模式間進行切換,不可避免地引進了開關噪聲;③在VCO進行頻率調製時,無法實時校正其中心頻率。
當射頻VCO進行頻率調製時,儘管其瞬時頻率變化很快,但其平均值或者中心頻率卻變化緩慢,可以用一個頻率負反饋環路如FLL去實時校正它。圖5-7給出了基於FLL的中心頻率實時校正電路。它運用雙通路射頻VCO和環路頻寬很窄的FLL,在實現快速調頻的同時,進行慢速的巾心頻率校正。
鑒頻器採用時鐘計數的方法檢測中心頻率偏差,控制後續的自加減計數器和△-ΣDAC,得到校正電壓V,後者調節VCO的校正通路,反向糾正中心頻率偏差。FLL環路頻寬由△-ΣDAC的RC濾波器的截止頻率決定,儘可能小,但要能跟上中心頻率隨電源電壓和溫度的漂移速率。為了消除LC VCO可變電容管對△-ΣDAC饋入的kickback噪聲,在電路中引入隔離驅動(Buffer)。為了抑制電源、地的共模噪聲,使用了差分結構的DAC。為了降低校正環路的功耗.讓大電流模組如高頻電流模(CML)分頻器,受duty-cycle時鐘控制,工作在亞連續狀態。當高頻分頻器不工作時,計數器的輸出要保持不變,這時VCO的中心頻率就鎖存了,直到下一個duty-cycle周期到來繼續校正,這樣,就能在確保巾心頻率實時校正的前提下,降低FLL環路的總功耗,
圖5-6—5-8在傳統的LC VCO或Ring VCO中,添加一路MOS可變電容管,或者添加一路V-to-Ⅰ轉換電路,即可實現雙通路VCO。考慮到射頻VCO的中心頻率在PVT下有±20%的偏差,同時要取得≥500 MHz的超寬頻頻譜,這些都要求VCO的調製增益和校正增益都要滿足百MHz/V級別。因此,對於LC VCO而言,其傳統結構中的隔直電容和電壓偏置等模組必須去掉;數字分段調諧模組也不能使用。圖5-8給出了適用於FM-UWB發射機的雙通路LC VCO。FM-UWB利用VCO把三角波子載波的幅度信息轉換為射頻頻率信息,這個幅度-頻率轉換過程最好是線性的,而LC VCO的增益卻是非線性的,因為單端累積型MOS變容管的電壓-電容曲線是非線性的。為了提高頻率調製的線性度,採用差分調諧可變電容結構,而傳統的基於分散式偏置的線性度最佳化方案不適合此類VCO。
中心頻率故障處理
(1)中心頻率測不出。這時,應先檢查調製器振盪管是否起振,其方法是用萬用表檢查-19V電源是否引進,振盪管及射極輸出器直流工作狀態是否正常。再用超高頻毫伏表測量振盪管集電極及射極輸出器的輸出端有無交流電壓。哪一級無電壓,則該級出故障的可能性較大,這時,可把該級三極體或可疑元件焊下用萬用表檢查,以判斷好壞。
(2)中心頻率偏高或偏低。如果調整W時,中心頻率還是偏高或偏低,須從下述幾個方面去檢查:
①電源電壓是否正常,穩壓二極體2CW3性能怎樣:首先改變電源電壓在±1V的範圍內變動,看頻率計數器上顯示的頻率讀數變化有多大,如果穩壓管性能良好,則頻率不應有大於幾十KHz的變化,如果變化較大,這說明穩壓管有問題。
如認為2CW3性能不好,可打開調製器蓋板,用萬用表直流電壓10V檔測量穩壓管兩端電壓,正常時應為9~10.5V,如果測得電壓低予或高於這個範圍,就需要更換穩壓管。
②振盪槽路元件損壞。在調製器里,容易變壞的元件是聚酯乙烯電容(振盪迴路電容和振盪管的耦合電容)失效(多數是開路),此時,應更換新的電容。
③振盪槽路元件接觸是否良好。
此外,由於調製器中沒有自動頻率微調以及恆溫裝置,調製器的中心頻率將受環境溫度變化的影響,溫度升高則頻率下降,在15~35℃之間中心頻率約有100KHz的變化。
中心頻率除受環境溫度影響外,還隨著槽路負載的變化以及電路中各種分布電容的影響,可能有幾百KHz的變化。

