簡介
自然頻率(natural frequency)是指一個系統在沒有外力或是阻尼的情形下,會傾向于振盪的頻率。
彈性體在不受外力下的振盪稱為自然振盪,其對應的頻率即為自然頻率。自然振盪和有外力下的振盪不同,若是線性系統,有外力的振盪其頻率會是外力的頻率。若外力頻率恰好等於自然頻率,其振盪的振幅會越來越大,這個稱為共振。
共振
共振(聲學稱為 共鳴)是指一物理系統在特定頻率下,比其他頻率以更大的振幅做振動的情形;此些特定頻率稱之為 共振頻率。在共振頻率下,很小的周期驅動力便可產生很大的振動,因為系統儲存有振動的能量。當阻尼很小時,共振頻率大約與系統 自然頻率或稱 固有頻率相等,後者是自由振盪時的頻率。
例子
自然中有許多地方有共振的現象。人類也在其技術中利用或者試圖避免共振現象。一些共振的例子比如有:樂器的音響共振、太陽系一些類木行星的衛星之間的軌道共振、動物耳中基底膜的共振,電路的共振等等。
一般來說一個系統(不管是力學的、聲學的還是電子的)有多個共振頻率,在這些頻率上振動比較容易,在其它頻率上振動比較困難。假如引起振動的頻率比較複雜的話(比如是一個衝擊或者是一個寬頻振動)一個系統一般會“挑出”其共振頻率隨此頻率振動,事實上一個系統會將其它頻率過濾掉。
理論
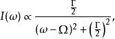
一個共振頻率為Ω的線性振盪器在受到頻率為ω的振盪的驅動下的振幅 I為:
自然頻率振盪強度是振幅的平方。物理學家一般稱這個公式為洛倫茲分布,它在許多有關共振的物理系統中出現。Γ是一個與振盪器的阻尼有關的係數。阻尼高的系統一般來說有比較寬的共振頻率帶。
機械共振
在機械系統中,當結構的自然頻率和強迫振動的頻率相吻合,就會有共振的發生。此時能量以最為容易的方式傳送到機械系統中。在工程學中,機械共振是工程師必須考慮的問題,因為巨大的振幅能建立和摧毀整個結構。例如通過風洞試驗,工程師確保飛機在整個飛行過程中所產生的力不能和其自然頻率相同,否則共振就會產生導致破壞。
電路共振
當電容和電感連線於低電阻的串聯電路,並且有交流電通過時,電路就會有自然頻率的震動。電流會以相同周期地反方向流動,震動的頻率基於電容和電感。而當電路的電阻增加時,振動的衰變速度增加,能量會以熱量釋放。
量子力學中的共振
自然頻率
自然頻率
自然頻率量子力學與量子場論中,共振可能出現在與古典物理相似的場合。不過,此現象也可想作是不穩定粒子;上面式子仍舊成立,只不過是粒子衰變率,而由粒子質量 M取代。在此情形下,此式子來自於粒子的傳遞子(propagator),其質量由複數所取代。此式子更進一步透過光學定理(optical theorem)而與粒子衰變率相關。
相關條目
•振動
•波動
•中心頻率
•簡諧運動
•受驅諧振子
•Q因子
•共振器
•阻抗
•調變電路

