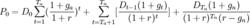
三階段增長模型的公式
三階段增長模型三個階段的紅利增長關係可以用圖表示:
三階段增長模型從圖能夠看出:公司股票的價值是高增長階段、過渡階段的預期紅利的現值和穩定增長階段價格的現值總和。並且當t等於Ta 時,紅利增長率等於ga ;當t 等於Tn 時,紅利增長率等於gn ;在過渡期內任何時點上的紅利增長率(根據假設):
三階段增長模型如果再假定初期的紅利水平D0 ,寫出三階段增長模型的計算公式為:
其中:r—股權要求收益率(假定其不變,可以放寬該假設)
上式中的三項分別對應於紅利的三個增長階段。且我們也能夠看到此公式較為複雜,使用起來不方便。不過,大家不必擔心,目前已有人將它編成程式寫在計算器里,只要輸入變數值就能算出結果。
三階段增長模型的的優劣勢
它的突出優點在於:
(1)雖然模型有一定程度的複雜性,但易於理解的;
(2)它很好地反映了股票理論上的價格,還允許在高利潤—高增長的公司同低利潤—低增長的公司之間做比較;
(3)模型能容易地處理增長公司的情況,有廣泛的套用性公司;
(4)模型提供一個構架以反映不同類型公司的生命循環周期的本質。
一般地認為,在三階段模型中,不同的公司處於不同的階段。成長中的公司的增長階段比成熟公司的要長。一些公司有較高的初始增長率,因而成長和過渡階段也較長。其他公司可能有較低的增長率,因而成長和過渡階段也比較短。此外與前面的紅利增長模型相比,不存在許多人為強加的限制條件,但在實際估價中,使用三階段模型也存在諸多困難。
首先是有許多的輸入變數和難以確定的股權收益率;
其次是過渡時期現金流的計算比較複雜(通常要作假設)。
為此,佛勒(R.J.Fuller)和夏(C.C.Hsia) 於1984年在三階段增長模型的基礎上,提出了H模型,大大地簡化了現金流折現的計算過程。
相關條目
兩階段增長模型
多元增長模型
參考文獻
1 黃良文.第五章 紅利貼現模型 投資估價原理.2002
