普通股的評價模型分類
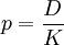
1、股利固定模型
普通股的評價模型如果長期持有股票,且各年股利固定,其支付過程即為一個永續年金,則該股票價值的計算公式為:
式中,D為各年收到的固定股息;其他符號的含義與基本公式相同。
2、股利固定增長模型
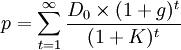
普通股的評價模型從理論上看,企業的股利不應當是固定不變的,而應當是不斷增長的。假定企業長期持有股票,且各年股利按照固定比例增長,則股票價值計算公式為:
式中,D0 為評價時發放的股利;g為股利每年的增長率;其他符號含義與基本公式相同。
普通股的評價模型如果g<K用D1 表示第一年股利,則上式可簡化為:
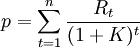
3、三階段增長模型
在現實生活中,有的公司股利是不固定的。如果預計未來一段時間內股利將高速增長,接下來的時間則為正常固定增長或者固定不變,則可以分別計算高速增長、正常固定增長、固定不變等各階段未來收益的現值,各階段現值之和就是股利非固定增長情況下的股票價值。
p=股利高速增長階段現值+股利固定增長階段現值+股利固定不變階段現值
普通股評價模型的局限性
1、未來經濟利益流入量的現值只是決定股票價值的基本因素而不是全部因素,其他很多因素(如投機行為等)可能會導致股票的市場價格大大偏離根據模型計算得出的價值。
2、模型對未來期間股利流入量預測數的依賴性很強,而這些數據很難準確預測。股利固定不變、股利固定增長等假設與現實情況可能存在一定差距。
3、股利固定模型、股利固定增長模型的計算結果受D0 或D1 的影響很大,而這兩個數據可能具有人為性、短期性和偶然性,模型放大了這些不可靠因素的影響力。
4、折現率的選擇有較大的主觀隨意性。

