簡介
三維水質模型是指模擬水質在水體空間三個方向即縱向、垂向、橫向上變化的數學表達式 。
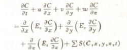
表達式
取污染水體中任意一點,並以此為中心作一想像的微小單元,根據質量平衡原理,可推導得其模型為:
圖1式中,u、v、w為x(縱向)、y(垂向)、z(橫向)方向的流速分量;Ex、Ey、Ez為x、y、x方向的離散係數;t為日時間;∑S為源與匯項 。
套用
三維水質模型在理論上是完整的,但求解析解極為困難,一般根據研究目的及水文條件,針對河流的不同特點,對該模型進行各種簡化降維,作為針對特定問題的水質模型的基本方程 。
實例
當以較長河段內的污染物遷移和分布為研究對象時,濃度梯度變化平緩,若不考慮感潮河段,則幾乎看不出擴散的影響,因而生物氧化和化學因素的作用便成為控制濃度變化的主要因素。對於距排放口較遠的河段,或相對窄而淺的河流可以僅考慮水流方向濃度的變化,採用一維水質模型。當考慮較短河段內污染物分布和排放點附近情況時,若不考慮沉澱和明顯化學變化的特殊情況,則可假定垂向無變化,僅考慮縱向及橫向問題 。

