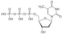
中文名
胸苷-5ˊ-三磷酸; 胸腺嘧啶脫氧核糖-5ˊ-三磷酸; 脫氧胸苷-5ˊ-三磷酸
英文名
Thymidine5'-(tetrahydrogen triphosphate)
別名
Thymidinetriphosphate (6CI);
2'-Deoxythymidine 5'-triphosphate;
2'-Deoxythymidinetriphosphate;
5-Methyl-dUTP;
5'-TTP; Deoxy-TTP;
Deoxythymidine 5'-triphosphate;
Deoxythymidine triphosphate;
TTP;
TTP (nucleotide);
Thymidine 5'-triphosphate;
Thymidine, mono(tetrahydrogen triphosphate) (ester);
dTTP
CAS登錄號
365-08-2
理化性質
其外觀呈白色粉末狀。pH2時吸光度比值A250/A260=0.64,A280/A260=0.72。

