定義
從研究兩個質點在萬有引力作用下的運動規律出發,人們通常把太空飛行器達到 環繞地球、 脫離地球和 飛出太陽系所需要的最小發射速度,分別稱為第一宇宙速度、第二宇宙速度和第三宇宙速度。
第一宇宙速度
太空飛行器沿地球表面作圓周運動時必須具備的發射速度,也叫環繞速度,以下記為v。按照力學理論可以計算出v=7.9公里/秒。但在精確計算中,太空飛行器在距離地面表面數百公里以上的高空運行,地球對太空飛行器引力比在地面時要略小,故其速度也略小於v。
v1計算
記第一宇宙速度為v,設地球質量為M,衛星質量為m,地球半徑為R,萬有引力常數G,地球表面重力加速度g。在以地球為半徑的軌道上運行的速度,萬有引力=向心力。其中,由於近地,萬有引力也可以表示為mg,即
三大宇宙速度得
三大宇宙速度
三大宇宙速度
三大宇宙速度其中,取 ;
得
三大宇宙速度第二宇宙速度
當太空飛行器超過第一宇宙速度v達到一定值時,它就會脫離地球的引力場而成為圍繞太陽運行的人造行星,這個速度就叫做第二宇宙速度,亦稱脫離速度。所謂擺脫地球束縛,就是幾乎不受地球引力影響,這與處於離地球無窮遠點的位置得情況等價。這裡要注意,由於月球還未超出地球引力的範圍,故從地面發射探月太空飛行器,不需要達到第二宇宙速度v,實際上其初始速度不小於10.848 km/s 即可。
v2計算
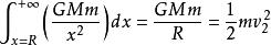
記第二宇宙速度為v,設地球質量為M,衛星質量為m,地球半徑為R,萬有引力常數G,地球表面重力加速度g。發射後全部動能轉化為引力勢能使衛星跑到離地球無窮遠處(機械能守恆)。
三大宇宙速度而
三大宇宙速度即
三大宇宙速度故
三大宇宙速度第三宇宙速度
從地球表面發射太空飛行器,飛出太陽系,到浩瀚的銀河系中漫遊所需要的最小發射速度,就叫做第三宇宙速度。亦稱逃逸速度。按照力學理論可以計算出第三宇宙速度V3=16.7公里/秒。需要注意的是,這是選擇太空飛行器入軌速度與地球公轉速度方向一致時計算出的V3值;如果方向不一致,所需速度就要大於16.7公里/秒了。可以說,太空飛行器的速度是掙脫地球乃至太陽引力的唯一要素,目前只有火箭才能突破該宇宙速度。
v3計算
能脫離太陽的引力到達無窮遠處的最小速度。這樣只需把第二宇宙速度方程中地球的質量換成太陽的質量,地球半徑換成地球公轉軌道半徑就行了。但不同的是,解出速度後,還要再減去地球的公轉速度才是最終的第三宇宙速度;因為地球的公轉已經提供了一定的動能了,況且發射速度都是相對於地球來說的。
三大宇宙速度以離太陽表面無窮遠處為0勢能參考面,則有(不考慮地球引力)
( v為人造天體對太陽的速度, m為人造天體的質量, R為平均日地距離, M為太陽質量)
三大宇宙速度解得 。
由 v=29.8km/s
知 v’=42.2-29.8=12.4km/s
設 R'為地球半徑, M'為地球質量
又由於發射時必須克服地球引力做功,故由機械能守恆定律有
1/2 mv - GM' m/ R‘=1/2 mv’
∵ GM' m/ R'=1/2 mv ( v為第二宇宙速度)
∴1/2 mv -1/2 mv2 =1/2 mv’
解得 v=(v +v' ) =16.7km/s
三大宇宙速度與人造衛星的發射
當發射速度V與宇宙速度分別有如下關係是,被發射物體的情況將有所不同:
第一種情況,當v<v1時,被發射物體最終仍將落回地面;
第二種情況,當v1≤v<v2時,被發射物體將環繞地球運動,成為地球衛星;
第三種情況,當v2≤v<v3時,被發射物體將脫離地球束縛,成為環繞太陽運動的“人造行星”;
第四種情況,當v≥v3時,被發射物體將從太陽系中逃逸。
由此可見,三個宇宙速度均是發射衛星過程中的不同臨界狀態。

