介紹
三叉戟[數學曲線名稱]
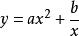
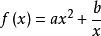
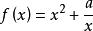
三叉戟[數學曲線名稱]函式 ( )的圖像稱為牛頓三叉戟曲線,也稱其為牛頓三叉戟。
三叉戟[數學曲線名稱]
三叉戟[數學曲線名稱]
三叉戟[數學曲線名稱]函式 ( )的圖像很像希臘神話中海神波塞冬的武器三叉戟,而牛頓最早研究了這個函式的圖形從而有了 牛頓三叉戟的名稱。
性質
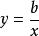
漸近線
三叉戟[數學曲線名稱]
三叉戟[數學曲線名稱]
三叉戟[數學曲線名稱]
三叉戟[數學曲線名稱](1)因為 →0時 → ,所以牛頓三叉戟有一條鉛直漸近線 。
(2)牛頓三叉戟還有兩條 曲線漸近線
三叉戟[數學曲線名稱]
三叉戟[數學曲線名稱](I) →0時,牛頓三叉戟有 雙曲線漸近曲線 ;
三叉戟[數學曲線名稱]
三叉戟[數學曲線名稱]
三叉戟[數學曲線名稱](II) → 時,牛頓三叉戟有 拋物線漸近曲線 。
單調性
三叉戟[數學曲線名稱]
三叉戟[數學曲線名稱]
三叉戟[數學曲線名稱]
三叉戟[數學曲線名稱]
三叉戟[數學曲線名稱]函式 ( )在區間( )、( )上單調遞減;而在區間( )上單調遞增。
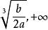
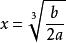
最小值
三叉戟[數學曲線名稱]
三叉戟[數學曲線名稱]
三叉戟[數學曲線名稱]
三叉戟[數學曲線名稱]函式 ( )在區間( )上有最小值 。
初等證明
單調性
三叉戟[數學曲線名稱]
三叉戟[數學曲線名稱]
三叉戟[數學曲線名稱]
三叉戟[數學曲線名稱]
三叉戟[數學曲線名稱]
三叉戟[數學曲線名稱]
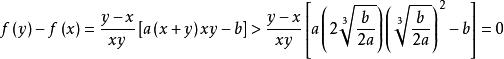
三叉戟[數學曲線名稱]當 時, 、 ,所以 ,可知函式 ( )在區間( )上單調遞減;
三叉戟[數學曲線名稱]
三叉戟[數學曲線名稱]
三叉戟[數學曲線名稱]
三叉戟[數學曲線名稱]
三叉戟[數學曲線名稱]當 時, ,所以函式 ( )在區間( ]上單調遞減;
三叉戟[數學曲線名稱]
三叉戟[數學曲線名稱]
三叉戟[數學曲線名稱]
三叉戟[數學曲線名稱]
三叉戟[數學曲線名稱]當 時, ,所以函式 ( )在區間[ )上單調遞增。
最小值
三叉戟[數學曲線名稱]
三叉戟[數學曲線名稱]
三叉戟[數學曲線名稱]
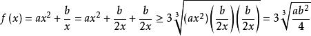
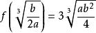
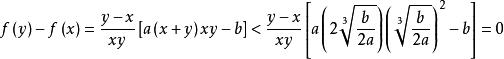
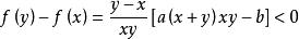
三叉戟[數學曲線名稱]利用上述單調性,即可知函式 ( )在區間( )上有最小值 。
也可以不依賴於單調性,而直接利用均值不等式來證明:
三叉戟[數學曲線名稱]
三叉戟[數學曲線名稱],等號在 時成立。
三叉戟[數學曲線名稱]
三叉戟[數學曲線名稱]即當時,函式在區間( )上有最小值 。
其它各種符號
三叉戟[數學曲線名稱]在其它各種符號下三叉戟的圖形
三叉戟[數學曲線名稱]
三叉戟[數學曲線名稱]
三叉戟[數學曲線名稱]舉例
上海2007年高考數學試卷第19題 :就是一個牛頓三叉戟問題 。
三叉戟[數學曲線名稱]已知函式,
三叉戟[數學曲線名稱](1)判斷的奇偶性;
三叉戟[數學曲線名稱]
三叉戟[數學曲線名稱]
三叉戟[數學曲線名稱](2)若在[2,)上是增函式,求實數的範圍。
三叉戟[數學曲線名稱]
三叉戟[數學曲線名稱]
三叉戟[數學曲線名稱]
三叉戟[數學曲線名稱]【解】(1)當時,是偶函式;當時,既不是奇函式,也不是偶函式。
三叉戟[數學曲線名稱]
三叉戟[數學曲線名稱]
三叉戟[數學曲線名稱]
三叉戟[數學曲線名稱](2)當時,在(0,)上是增函式,一定也在[2,)上是增函式;
三叉戟[數學曲線名稱]
三叉戟[數學曲線名稱]
三叉戟[數學曲線名稱]
三叉戟[數學曲線名稱]當時,是(0,)上的增函式,一定也是[2,)上的增函式;
三叉戟[數學曲線名稱]
三叉戟[數學曲線名稱]
三叉戟[數學曲線名稱]
三叉戟[數學曲線名稱]
三叉戟[數學曲線名稱]
三叉戟[數學曲線名稱]
三叉戟[數學曲線名稱]
三叉戟[數學曲線名稱]當時,的單調增加區間為 [,),據題意有[,),得。
三叉戟[數學曲線名稱]
三叉戟[數學曲線名稱]綜合起來可得實數的範圍是(,16]。
![三叉戟[數學曲線名稱] 三叉戟[數學曲線名稱]](/img/e/8c9/nBnauM3X0MTM4YDN5ATO0EDN0UTMyITNykTO0EDMwAjMwUzLwkzL2YzLt92YucmbvRWdo5Cd0FmLyE2LvoDc0RHa.jpg)
