物質內容
中文名稱: 七水合硫酸鋅
英文名稱: Zincsulfateheptahydrate
七水合硫酸鋅 CAS: 7446-20-0
MDL: MFCD00149894
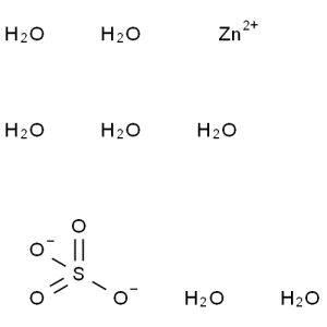
分子式:H14O11SZn
分子量: 287.56
SMILES: [O-]S(=O)(=O)[O-].O.O.O.O.O.O.O.[Zn+2]
屬性
熔點 100°C密度 1.957
儲存條件 StoreatRT.
水溶解性 960g/L
Merck 14,10159
穩定性 Stable.Incompatiblewithstrongoxidizingagents.hygroscopic-protectfrommoisture.
基本用途
用作媒染劑、木材防腐劑、造紙工業漂白劑,還用於醫藥、人造纖維、電解、電鍍、農藥及生產鋅鹽等.危險屬性
危險品標誌 Xn,N,Xi危險類別碼 22-41-50/53-36/38
安全說明 22-26-39-46-60-61-25
危險品運輸編號 UN30779/PG3
WGKGermany 3
RTECS號 ZH5300000
海關編碼 28332600
存儲(Store.):StoreatRT.
