一致性理論
正文
探討和預測人在接受了對有關事物的新的信息後會調整原有態度的社會心理學理論。由C.E.奧斯古德和P.H.坦南包姆於1955年提出。人們對周圍的人和事物有一定的評價,具有某種態度傾向。對不同事物的評價可以是相互獨立的。例如,某人非常喜愛電視上的一個專題節目,也對某種日用商品抱有好感,這兩件事本身是相互獨立的。如果他碰巧從電視專題節目中看到一些情況是關於那種日用商品的,那么本來相互獨立的事件便有了一定的聯繫。一致性理論認為,此人會根據他從電視上收到的信息重新調整他對這兩事物的態度,使它們在心理上達到一致狀態。這有兩種情況:一是當人對兩事物的看法在方向上都持贊成態度,並且贊成的程度相等時,其中一事物作為信息源(如電視節目),另一事物作為信息對象(如商品),人所接受的新信息通過信息源對信息對象的評價獲得。若這一評價是正的,即信息源與信息對象之間有相容的正關係,那么人對這兩事物的態度在心理上便達到一致。二是人本來對兩事物的態度不同,贊成一個,反對一個,並且贊成和反對的程度相同,這時,如果這兩事物之間是相互排斥的負向關係,即信息源對信息對象持反對態度,人的態度也可達到一致性。此刻,人的心理體驗是愉快的,沒有衝突和不安。
在很多時候,由於人對不同事物的態度本來是相互獨立的,在方向上特別是在程度上經常不相同,這時,由於新的信息加入,人對事物原來的態度會由於其方向上的不同或程度上的差別而與兩事物之間所形成的聯繫不協調。因此,人處在態度不一致的心理狀態。上例中,如果人本來愛看電視專題節目,但對那種日用商品抱一些反對態度,當他從電視上看到贊成該商品的報導,他的態度處在不一致的狀態,因為此時,他發現他所喜愛的事物正在贊成他不太喜歡的事物。當態度不一致時,人的體驗是不愉快的,並會從內部產生動力驅使他調整對兩事物的態度,使它們達到一致。
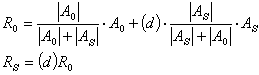
奧斯古德和坦南包姆對這種調整的結果作了預測性說明。首先,對兩事物原有的態度用態度語義分化量表測出其方向和程度。這樣,人的態度由帶有正號或負號數值標出,正值表示贊成,負值表示反對,數值的絕對值越大,表示態度的強度越大,當這兩事物作為信息源和信息對象出現時,它們之間的聯繫也用正號或負號表示其相容或相斥。根據這些用數量評定出來的指標可以判斷人此時的態度是否一致。當人的態度不一致時,對態度的調整結果可以用以下公式推出:

調整之後,人對兩事物的態度達到一致,他們在程度上相同,方向根據信息源和信息對象之間的關係而定,若d是正,則調整後人對兩事物的看法完全相同;若d為負,則人對兩事物的看法方向相反,但程度相同。
人調整自己態度的過程是迅速完成的,自己並不明確地意識到。從總體結果看,人對兩事物原來的態度在調整中都會被改變;其中原態度強度的絕對值接近零的一方,被改變的程度要大一些;當信息源和信息對象之間關係為負時,調整後人對兩事物的態度比原來都會有所下降。為了證明這個理論觀點,1956年坦南包姆設計了一項研究,調查企業中職工在獲得新的信息之前和之後的實際態度,然後將根據此理論推測的態度結果與實際測驗的值作了對比。結果發現,在定性分析的水平上,這個理論基本是正確的,但在定量分析的水平上,這個理論所作的預測不十分準確。
有不少社會心理學家認為一致性理論是平衡理論的一個特例,只是一致性理論強調O-X之間的關係對人的態度改變所起的作用。有人認為,一致性理論對人的態度變化的理解過於簡單化,實際上人的認識、情感都不是由某個因素單獨起作用的,在此基礎上形成的態度就更為複雜。

