公式
ax +bx +cx +dx +ex +fx +gx +hx+j=0
重根判別式:A=16ac-7b B=7bd-4c C=56ae-5c
D=28af-cd E=112ag-d F=1225bh-16e
G=4900aj-e
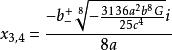
當A=B=C=D=E=F=0時,
一元八次方程
一元八次方程
一元八次方程
一元八次方程推導過程
一元八次方程(x+) =x +(b/a)x +(7b/16a)x +(7b/64a)x +(35b/2048a)x +(7b/4096a)x +(7b/65536a)x +(b/262144a)x+(b/16777216)
原方程兩邊同時除以a,按照次數同位相減,作差,分子即化簡前的重根判別式。
化簡過程
64a d-7b =64d×(49b ÷256c )-7b =7bd-4c ,其餘相同,即可得到當A=B=C=D=E=F=0時,
一元八次方程,解八次方程,就化繁為簡了。

